Community Tip - Did you get an answer that solved your problem? Please mark it as an Accepted Solution so others with the same problem can find the answer easily. X
Solved! Go to Solution.
Did you follow this step by step guide? "How to Acquire 30 days License for Mathcad Prime 7.0?": https://community.ptc.com/t5/Mathcad-Installation/How-to-Acquire-30-days-License-for-Mathcad-Prime-7-0/m-p/721613#M413
Are you running it in trial license mode or is it running in the express version?
If your files are not too sensitive you could upload one for trail conversion by the forum members.
Did you follow this step by step guide? "How to Acquire 30 days License for Mathcad Prime 7.0?": https://community.ptc.com/t5/Mathcad-Installation/How-to-Acquire-30-days-License-for-Mathcad-Prime-7-0/m-p/721613#M413
Hi.
when I initially installed and started Prime 8.0, it opened directly, with no license wizard.
I went back to the install folder and noticed a License wizard .exe, which I started directly as administrator and things proceded thereafter as expected, thanks. A trial convert has worked on a Mathcad 11 file, so I hope to be able to now tweak the converted version to correct for some folder jumbling in include files requested by the original and converted .MCDX file and get it up and running on Prime 8.0.
Thanks for your help. I am a very happy person ATM.!😁😥
best regards
TonyR
You had installed Prime 8 and it worked, in Express mode. Obtaining the (trial) license put it in full mode that lasts until the end of the trial period (30 days). At that moment Prime will revert to Express mode, which means no more conversion, symbolics, programming, solve blocks and important premium feature functions such as mean(), Re() and Im()...
"...single user Mathcad 11 CD with license (paid for years ago) with a previous Mathcad 2000i license number to go with it, but no licence file, because that was obviously tailored to a particular machine, and the file and the machine are long gone."
That Mathcad 11 single-user was licensed using Cdilla, a system that does not work under a 64-bit OS (most common as of windows 10). You cannot make that Mathcad 11 working on any machine anymore since PTC shut down the server to provide the Cdilla licensing.
Apart from converting the .MCD files to .MCDX files, Prime 8, while in full mode will also allow to create an html file of your Mathcad 11 sheet, showing the calculation results for the numerical calculations as performed by Prime (NOT those by Mathcad 11) as demonstrated by
This Mathcad 11 file:
Results in this html output by Prime 8's built in converter:
Notice:
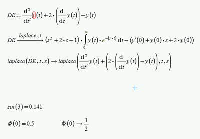
1. NO symbolic results. You should also realise that the symbolic engine of Prime8 is completely different from that of Mathcad 11.
2. Numerical results according to Prime's numerical processor (Mathcad 11's numerical result of the Heaviside step function at 0 is 1, while Prime sets it to 1/2).
Once converted to Prime8 and encouraged to finally calculate the symbolic results, this comes up:
Prime doesn't know the laplace() function (which is an undocumented feature of Mathcad 11).
Success!
Luc
Hi,
Starting from the 7th version of Mathcad Prime you can use the built-in converter (before the installation process, it is necessary to select it among the installation components).
