Community Tip - Visit the PTCooler (the community lounge) to get to know your fellow community members and check out some of Dale's Friday Humor posts! X
Dear All
Please help for calculating Transformation of the nodal coordinates of the space
frame element, I stuck here both theory and Mathcad Prime.
I attached file of Mathcad prime sheet and lesson and example.
Best regards
SPRStructur
Solved! Go to Solution.
Hi,
Have eliminated the error.
The case where the member aligns with the z axis needs to be taken into account.
Have added an if statement that defines this.
Cheers
Terry
Hi,
Here is how a commercial piece of software defines P on the y(2) axis.
In the graphic axis 3,2,1 is the same as your local coordinates x,y,z.
x(3) local is along the member.
y(2) local is defined as Y global for beams parallel to Z global axis.
y(2) is defined by vector product of Z and 3 if not parallel to Z global
z(1) completes the orthogonal set.
Define y(2) as above and you can set P for your example.
Cheers
Terry
Hi,
Took time to show how to calculate P.
The case for element on z axis is trivial so not covered.
Cheers
Terry
Hi,
Have eliminated the error.
The case where the member aligns with the z axis needs to be taken into account.
Have added an if statement that defines this.
Cheers
Terry
Thank u terry.
is applied for all kind orientation of Elements?
Frame element software usually has three ways to define local axis of a 3D member.
1) A default system. The one you have done. This is useful for building frames where the columns are all aligned.
2) A reference node for the position P of each member. Here all axis point to the reference node in the center. Like columns around a cylindrical silo.
If you look closely you can just see the yellow reference node at the center.
3) A rotation angle for the principle axis from the default system. P is rotated around the element 3 axis clockwise looking from node 1 to node 2 and specified by angle from 0 to 360
Cheers
Terry
Thank you for detail Terry
If I wanna my global Axis like below (XYZ) differ from example (XZY), what I should change to calculate P?
Hi,
Described in your post a left handed axis. Most software always deals with right hand set of axis.
A right hand set of axis can still have z vertical.
Here is a selection from 5 software packages all using right hand axis set.
My recommendation is to not use a left hand axis set.
Cheers
Terry
I would use this(below) because all my sheet set (xyz) as global
Hi,
With a right hand axis system with Z up the default calculation of P gives beams not typically in the correct orientation. Works for columns.
You need to give either:- a reference node, rotate principal axis by 90 degrees, or
some software (not all) allow you to specify a global axis direction of P. Here +Z would be chosen.
Cheers
Terry
could you do for me in general case as I mention above? Terry
Best regard
SPR
Hi.
The default method of determining P works for your problem.
Cheers
Terry
This maybe a new question I mean all elements even in any rotation or any orientation (horizontal vertical diagonal or any ...) is true when I apply or I say Complete set.
SPr
Hi,
The discussion started about how to determine the point P for orientation of the frame element axis and how to calculate the transform matrix from that.
The default for orientation is different for different finite element programs. That is why they put it in the manual.
I have given you one from the software I use. It covers all possible orientations, Parallel to or at angles to all global axis.
I note the graphic you last provided uses a different default orientation system.
Even the labelling of axis of the element is different in different software packages. Here is an example
What it seems you are talking about now is after the default orientation is determined an additional rotation is to be applied. These angles of rotation are clockwise looking along the member. Most finite element software has a capacity to do this. Here you can use a Reference node or apply a rotation angle.
This rotation angle alters the definition of P and hence the calculation of the stiffness transformation matrix.
It is a distinct different question.
Not sure how to calculate the geometry to rotate P around the axis of the member in Prime.
Will think about it. Perhaps you should post this now geometric problem as a separate post
Cheers
Terry
Hi,
The following web page shows how to do the transformations
Rotation about an Arbitrary Axis (Line)
https://www.engr.uvic.ca/~mech410/lectures/4_2_RotateArbi.pdf
Just need to translate to Prime coding.
Cheers
Terry
Hi,
Here is function to rotate point P around an arbitrary axis. Along with default alignment this gives completely general alignment.
Point P is xp, yp, zp
Axis is x1, y1, z1 to x2, y2, z2
Theta is angle of rotation clockwise looking up the axis.
Here is function that gives a 180 degree turn to the first element in your example.
Cheers
Terry
Great 😍😍😍 Terry
Hi,
For total completeness you need to be able to define point P when you use a reference node to point the local member axis towards.
Here is the answer.
xr, yr, zr are coordinates of reference point,
x1,y1,z1 to x2,y2,z2 is the member axis.
Outputs the coordinates of the value P used to create the transformation matrix
Cheers
Terry
I think your sheet apply on XZY Axis only
not XYZ Axis
So I wanna change for XYZ Axis
1st P for (XYZ)
and rotation also change?
Hi,
The default alignment works for any set of right handed axis these are both the same axis just viewed differently.
Right hand, thumb in x direction, index finger in y axis, palm points in direction of z axis.
Cheers
Terry
What you have drawn below is a left hand axis and the default does not work in it.
You do not need to change the default.
Hi,
Only trying to help.
It is I think important to emphasize the commercial software default orientation of members and right hand coordinates Y axis up results in easy to input structural models.
All the members in this frame are the default orientation. No need for reference nodes or rotations. The commercial software defines it this way for simplicity of entry.
There is no reason to stop you using Z up and changing the default orientation to suit.
Cheers
Terry
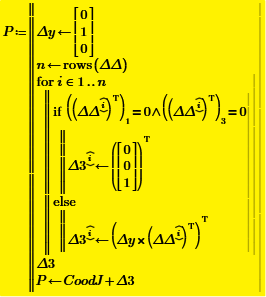
-Do not include Rotation transformation only (only translation transformation)
Case I: I got perfect solution compare to FEM
Case II: I got wrong solution (with horizontal vertical elements)
-Include Rotation transformation only (both transformation)
I got error when include Rotation transformation
I have attach Case II Mathcad and Case Include rotation
please correct me Terry
thank u
Hi,
Give me some time to look at it
Cheers
Terry
Thank u terry 😍
Oh I forget specified you that Rotation Function I change a bit to fit my input so you can modified if you think it wrong. And I keep in mind Z is upward 👆 for input Elements coordination
Thank u
Hi,
It is late here so you will not get an answer until tomorrow.
Cheers
Terry
Hi,
First thoughts are:
When you rotate the members remember the local axis changes. This means the direction of applying the load changes.
Check that the direction is OK in your program.
Hi,
Making head way.
Can you send me the file that does work for comparison.
Cheers
Terry
the same file just change the Input Elements coordination.
Ok I send you
SPR
