Community Tip - When posting, your subject should be specific and summarize your question. Here are some additional tips on asking a great question. X
Dear All
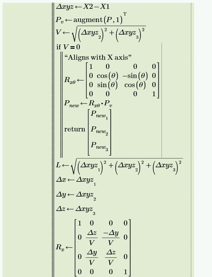
Please help for calculating Transformation of the nodal coordinates of the space
frame element, I stuck here both theory and Mathcad Prime.
I attached file of Mathcad prime sheet and lesson and example.
Best regards
SPRStructur
Solved! Go to Solution.
Hi,
What I have found so far.
A divide by zero occurs when the member aligns with the x axis when doing rotations.
In the two member model file when I include the rotations it still gets the right answer.
In the three member model it gets the wrong answer whether rotations are there or not.
I do not know why yet but working on it.
Cheers
Terry
Hi,
I am finding little things but am on the right track.
Need to stop for the night.
So far:
Cheers
Terry
Hi,
It is very late.
Have finally got success
Will write this up tomorrow.
Great Terry
Hi,
This has taken some work. To find the error I have implemented another approach to check all the matrices.
Your file "220208-Check Model6" is corrected and gets the right answer. My changes have been highlighted in green. View in Draft mode to see them all.
The main problem is the application of the equivalent global node loads from the uniform distributed load.
It seems to place them on the first not middle span. I have only corrected the global load, you will need to determine why the input does not get correct values.
Correct answer is determined
I have included my file that I used to check all the matrices.
Cheers
Terry
Cool Terry
😎You are advanced Mathcad User
I think you do like this may need lower memory than mine. For me need to break sheet in pieces and control by VBA as my last post about to open run save and close automatically. you are the best!
Hi,
Sent you the wrong local axis. Here in the terminology of the vector multiplications e1, e2, e3
Corrected graphics below.
Cheers
Terry
Wrong only Picture only right? Algorithm is correct? terry
Hi,
The algorithm is correct only the graphic was wrong.
Cheers
Terry
