Community Tip - Did you get an answer that solved your problem? Please mark it as an Accepted Solution so others with the same problem can find the answer easily. X
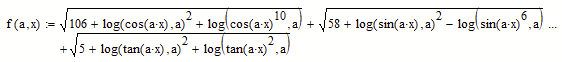
I am unable to create a 3D area diagram for the function h(a,u) defined in the attached file (MC14). Please help me.
Sunday greetings, Alfred Flaßhaar
Solved! Go to Solution.
The equation u=cos(a x) has no effect, neither have the ranges a and u you define.
u=1 has to be avoided because of the term ln(sqrt((1-u^2)/u) (-> minus infinity).
You could simply plot h, but you will have to manually edit the ranges for the input variables so that the calculation does not fail for any grid point.
Its more convenient to use the "CreateMesh" function and plot the created nested arrays
You could also create an array with values corresponding to the range variables you had defined and look for it minimum value
or you could use "minimize" to find the minimum
The values found do not exactly match the solution you name.
Mathcad file attached
The equation u=cos(a x) has no effect, neither have the ranges a and u you define.
u=1 has to be avoided because of the term ln(sqrt((1-u^2)/u) (-> minus infinity).
You could simply plot h, but you will have to manually edit the ranges for the input variables so that the calculation does not fail for any grid point.
Its more convenient to use the "CreateMesh" function and plot the created nested arrays
You could also create an array with values corresponding to the range variables you had defined and look for it minimum value
or you could use "minimize" to find the minimum
The values found do not exactly match the solution you name.
Mathcad file attached
Of course, I solved the problem in a different way beforehand, using paper and pen. It is unusually demanding for high school graduates and appealing even at my advanced age. I want to arouse the interest of young people who are willing to learn by graphically representing the minimum point of u and a in 3D graphics, in addition to the written calculation. Unfortunately, I am not very good at using Mathcad14. My area of expertise is more analysis. In any case, I have learned something here. Thank you very much for that.
I agree that its a very demanding problem for high school graduates (and not only for them).
I wonder how many pupils of that age in our area would be able to provide a solution.
BTW, using CreateMesh its not to difficult to "zoom in" for better clarity.
You may also define the function as its given originally.
I don't think that Mathcad is capable enough to provide an exact symbolical solution, but we can get a numerical one either by using "minimize"
or by using the Nabla operator and a solve block with "Find"
The auxiliary function "nabla" was necessary because using the built-in function directly did not work.
And of course you could use the function for plotting as already shown
You may also demonstrate the periodicity, but you will have to copy with non-real z-values. Unfortunately unlike the 2D plot, the 3D plot does not accept (and ignore) NaN's, so I set non-real values to 23 and limit the z-axis in the plot menu to 22. Just to be on the safe side I also do the same for values which may make the function fail (zeros of sin or cos which make the log fail)
