Community Tip - Your Friends List is a way to easily have access to the community members that you interact with the most! X
Hi,
I am looking for a solution to my question, "can the coefficients be evaluated/shown as numbers in an equation?"
example)
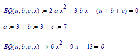
a:= 3 b:=3 c:=7
2a (x^2) + 3b (x) - (a+b+c) = 0
can the obove be shown as: 6(x^2) + 9x - 13 = 0
only partially as far as I can see
the symbolic will give the answer you are looking for but cannot have the =0
You mean like this:
?
What version of Mathcad or Prime are you using?
Luc
Thank you! It was perfectly working for my purpose!
Actually, my equation is a bit more complex.
Your suggestion perfectly worked!
When I tried to solve the original without using EQ(), my MathCad 14 just returned the red-colored original.
You can also do it the other way around: First solve symbolically, then plug in the numbers. Like this:
Success!
Luc
