Community Tip - You can subscribe to a forum, label or individual post and receive email notifications when someone posts a new topic or reply. Learn more! X
Converting from Mathcad 14 file to Mathcad Prime 11.
An error occurred when extracting and redefining a matrix by specifying a column.
Changing the matrix column specification from a variable to a number does not cause an error.
Why is the error occurring?
Solved! Go to Solution.
I couldn't resist and gave it a try and its as I suspected:
Prime 11.0.0.0:
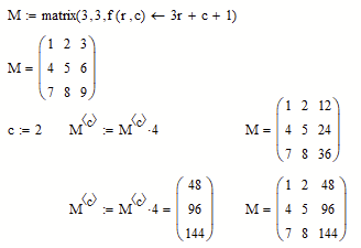
Real Mathcad 15:
While it was already a good advice in the old real Mathcad to avoid inline evaluations, the problems seem to have gotten even worse in Prime.
I would call it a bug, and you are free to report it as such to official PTC support—good luck!
BTW, the bug is NOT present in Prime 6 and below. Can't say anything about Prime 7 and 8 because I never had installed these versions. But the bug definitely shows up in Prime 9, and also in version 10 and 11.0.0.0. Can't say anything about the current version 11.0.1.0 as I have not installed it and PTC is not able/willing to publish a comprehensive list of bug fixes or improvements made in their various versions.
But at least you now have a work-around - avoid inline evaluations.
EDIT: One final note: Even the genuine Mathcad was not entirely free of such undesirable effects caused by the use of inline evaluation.
If c is a range variable, even Mathcad gets confused when you add an inline evaluation:
Error message is "This value must be an integer".
Unfortunately, it isn't easy to debug a worksheet from an image.
Have you tried deleting the P:=0 expression and retyping it?
If you go to the Math tab in the Ribbon and you should see a "Labels" dropdown in about the middle of the ribbon. Click on the P in the P:-0 definition and note its Label. Then click on the P in the kn1<P> term and note if it has the same Label. Labels are the Mathcad Prime equivalent of Mathcad 14 Styles, but they differ significantly in how they work, and they might not be correctly converted.
Stuart
Thanks your reply..
I've created a simplified example..
Is this a limitation of Mathcad Prime?
Again you show just a picture!
You should always attach your Prime worksheet itself so we have something to play with!
BTW, it has always been better to avoid inline evaluations, as they can often lead to unusual effects and errors—especially in connection with matrices. By this I mean you should not write
but rather separate definition and evaluation
So delete the equal sign at the end of the definition and see if that solves your problem (my guess is that it will do so)
I couldn't resist and gave it a try and its as I suspected:
Prime 11.0.0.0:
Real Mathcad 15:
While it was already a good advice in the old real Mathcad to avoid inline evaluations, the problems seem to have gotten even worse in Prime.
I would call it a bug, and you are free to report it as such to official PTC support—good luck!
BTW, the bug is NOT present in Prime 6 and below. Can't say anything about Prime 7 and 8 because I never had installed these versions. But the bug definitely shows up in Prime 9, and also in version 10 and 11.0.0.0. Can't say anything about the current version 11.0.1.0 as I have not installed it and PTC is not able/willing to publish a comprehensive list of bug fixes or improvements made in their various versions.
But at least you now have a work-around - avoid inline evaluations.
EDIT: One final note: Even the genuine Mathcad was not entirely free of such undesirable effects caused by the use of inline evaluation.
If c is a range variable, even Mathcad gets confused when you add an inline evaluation:
Error message is "This value must be an integer".
