Community Tip - Learn all about the Community Ranking System, a fun gamification element of the PTC Community. X
Hello everyone!
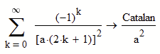
Why does the symbolic processor give me different results in calculating the sum of the infinite series shown in the photo? Does Prime produce the same results?
Solved! Go to Solution.
Found something interesting:
So this may be a quite clumsy workaround
But it only works if the variable a is not defined. Otherwise the error pops up again:
But the best "workaround" if one already is aware of this bug, sure is to put the factor outside the parenthesis
Its a strange bug, indeed!
This is Mathcad 11 (with Maple as symbolic engine). It knows Catalan symbolically:
so
It doesn't recognise your series to be related to Catalan:
but at least, it's consistent in it answers/results.
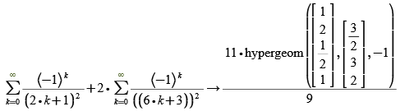
Prime 8 has the 'new symbolic machine' and produces:
and
which is also consistent. Prime 7 is the same.
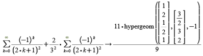
I suppose that Prime 1...5 will produce the same as Mathcad 15, due to MuPad. Prime 6 gives the choice between MuPad and the new symbolic machine.
Success!
Luc
Its definitely a bug in muPad but as neither MC15 nor Prime6- are supported by PTC anymore, I guess you are out of luck hoping for a fix.
The symbolic is ignoring the factor if its placed within the squared parenthesis.
You get the result which matches the result Luc had shown with P8 if you use the limit
Adding a "simplify" or a "simplify,max" sometimes returned the very same result and sometimes ended in an endless calculation which I had to cancel.
As Luc already guessed we get the very same erroneous results with the legacy symbolic in Prime 6 and switching to the new one delivers the same results Luc had shown for P8.
Found something interesting:
So this may be a quite clumsy workaround
But it only works if the variable a is not defined. Otherwise the error pops up again:
But the best "workaround" if one already is aware of this bug, sure is to put the factor outside the parenthesis
Its a strange bug, indeed!
