Community Tip - Did you get an answer that solved your problem? Please mark it as an Accepted Solution so others with the same problem can find the answer easily. X
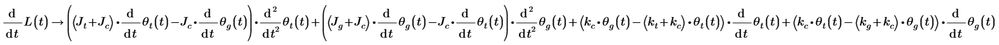
I would like to take time derivatives of a Lagrangian function to develop equations of motion. I am not able to find anything online. Any help would be greatly appreciated.
Any information or help is much appreciated
@SP_9781969 wrote:
I would like to take time derivatives of a Lagrangian function
Its not clear to me what you are actually looking for. Obviously you know how to create a derivative in Prime
