Community Tip - Did you know you can set a signature that will be added to all your posts? Set it here! X
Can PTC MathCAD create the symbol that I've highlighted in the attached photo? (the vertical bar with the variable set to some specific value)
Solved! Go to Solution.
@DS_10024912 wrote:
Can PTC MathCAD create the symbol that I've highlighted in the attached photo? (the vertical bar with the variable set to some specific value)
You can create the effect, but the display will look much different:
I can't find that evaluation bar in Mathcad 15 or Prime 6, but I found this in Mapple.
@mvenich wrote:
I can't find that evaluation bar in Mathcad 15 or Prime 6
Why should you? It doesn't exist 😉
For pure numeric evaluation as you had shown it would look like this in Prime
or again using symbolic evaluation
And yes, you can combine program and symbolic eval, but it will never look as demanded in Prime
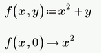
And you always can define functions and evaluate them symbolically and/or numerically
but the familiar vertical bar as shown in the screenshot of the initial posting can't be achieved using Prime.
I liked the old MathCAD better - too bad it was killed.
@DS_10024912 wrote:
I liked the old MathCAD better - too bad it was killed.
I sure second that, but what has it to do with your question? The display you showed and wanted to replicate could not be done in real Mathcad, either!
The ways I had shown would look similar in Mathcad 15 and below, too. Only difference is that you can hide the keywords in a symbolic evaluation and can replace the arrow for a normal equal (=).
I think I'm found of earlier version of MathCAD because I've created many MathCAD documents during the last 25 years.
Mathcad Prime can't show =x^2 but -> x^2.
