Community Tip - You can subscribe to a forum, label or individual post and receive email notifications when someone posts a new topic or reply. Learn more! X
I have been working on separate project, this may shed some light on what you are looking for. The work was done in Prime 6.
Cheers
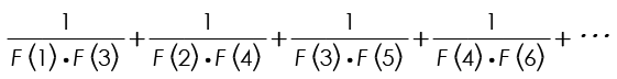
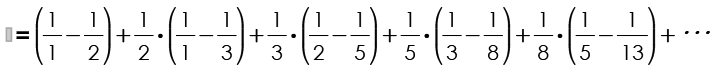
I got it, Ttokoro. I understand your proof as the following:
Thanks again for time and help.
Best Regards.
