Community Tip - Did you get called away in the middle of writing a post? Don't worry you can find your unfinished post later in the Drafts section of your profile page. X
hello everyone!
I want to set this equation equal to zero and find the unknowns c and k. Of course, I have to use the gamma function for this. Does anyone know this subject?
Solved! Go to Solution.
Solving just ONE equation for TWO different variables??
You can solve the equation symbolically for one of the variables and get the solution dependent on the other
You may add "simplify"
Solving for k fails, though,
and the reason my be that there is no unique inverse of the Gamma function.
But given a numeric value for c you can solve for k
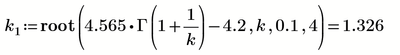
You my also use a solve block with find or the numeric "root" function to get the solution
Here I am looking for a solution in the range from 0.1 to 4
But there is a second solution and I let "root" look for it in the range from 4 to 10
Here the plot so its clear why we have two solutions if c=4.565:
One of the answers.
Solving just ONE equation for TWO different variables??
You can solve the equation symbolically for one of the variables and get the solution dependent on the other
You may add "simplify"
Solving for k fails, though,
and the reason my be that there is no unique inverse of the Gamma function.
But given a numeric value for c you can solve for k
You my also use a solve block with find or the numeric "root" function to get the solution
Here I am looking for a solution in the range from 0.1 to 4
But there is a second solution and I let "root" look for it in the range from 4 to 10
Here the plot so its clear why we have two solutions if c=4.565:
thank you!
