Solved
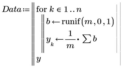
1) A program will return the last value, so in your case the last calculated y (for k=n). So you have to collect all values in a vector (using the vector index at y). And the last statement in the program must be "y" (or "return y") so that the whole vector is returned.
2) When you sum the elements of b you have to apply the index i if you use it on the sum. Otherwise the sum returns n-times the whole vector b and y will end up being the very same as vector b.

A bit easier (sum of a vector)

Even easier using the built-in "mean" function

And at last a tricky one using the "matrix" function
![]()
Enter your E-mail address. We'll send you an e-mail with instructions to reset your password.

