Community Tip - Did you get an answer that solved your problem? Please mark it as an Accepted Solution so others with the same problem can find the answer easily. X
Remark:
You could also do without using a user-written utility function, but I sure would prefer using the function
or even without an extra range variable, using "submatrix"
Please don't forget to specify which version of the program your Mathcad Prime worksheet is for.
Prime 8
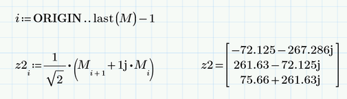
More precisely (without retyping numbers causing accuracy loss) you may get:
Then why not simply (without detour):
Success!
Luc
Why not use a utility function which can deal with vectors of arbitrary length?
And in case you are interested in the exact values, you can use symbolic evaluation
Remark:
You could also do without using a user-written utility function, but I sure would prefer using the function
or even without an extra range variable, using "submatrix"
