Community Tip - Did you get an answer that solved your problem? Please mark it as an Accepted Solution so others with the same problem can find the answer easily. X
Dear community,
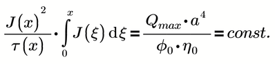
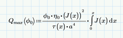
Can someone help me solve the integral of the following equation in Mathcad 7.0.0.0? Only J(x) and tau(x) vary with x, and the rest are constants.
Thanks in advance
Solved! Go to Solution.
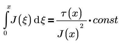
If only J and tau depend on the variable x we can assume that the left hand side is constant as well.
or
I notice that
1) you have two functions to solve for, but only one equation !!??
2) If x=0 the integral is zero. What is J(0) and tau(0) supposed to be?
As I assume that the constant on the right hand side should not be not zero, this means either J(0)->infinity and/or tau(0)->0
So I would say that one equation is not enough information and once you fix that, you may search the forum for "integral equation"
Posts - PTC Community
and see if you can find something useful, as Prime has no facility out of the box to solve an integral equation.
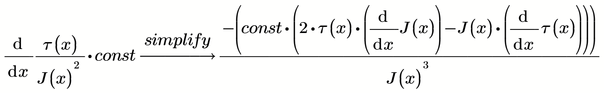
You could differentiate your equation
with respect to x and with a little help from Prime's symbolics
you can write
You now need a second equation and then you could try to solve that system in a solve block with "odesolve".
I have no idea if this would work OK but it may be worth a try...
If only J and tau depend on the variable x we can assume that the left hand side is constant as well.
or
I notice that
1) you have two functions to solve for, but only one equation !!??
2) If x=0 the integral is zero. What is J(0) and tau(0) supposed to be?
As I assume that the constant on the right hand side should not be not zero, this means either J(0)->infinity and/or tau(0)->0
So I would say that one equation is not enough information and once you fix that, you may search the forum for "integral equation"
Posts - PTC Community
and see if you can find something useful, as Prime has no facility out of the box to solve an integral equation.
You could differentiate your equation
with respect to x and with a little help from Prime's symbolics
you can write
You now need a second equation and then you could try to solve that system in a solve block with "odesolve".
I have no idea if this would work OK but it may be worth a try...
Hi,
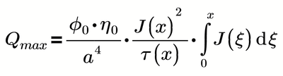
Took a different approach. J(x) is a function of x, but from the earlier equations tau(E(x)) is a function of E at x not just x
Means the following is possible?
Not sure if this is correct but it is possible!
Cheers
Terry
