Community Tip - You can subscribe to a forum, label or individual post and receive email notifications when someone posts a new topic or reply. Learn more! X
Hi Mathcad 10.0 Prime User,
I want to make a table with different variables. My Q is always different, on which the other variables depend on. Q has to be 2 or higher. So if someone can just show me how to do the basic table, I will than use my Q's etc. I really have no clue how this might work in Mathcad.
File is attached.
Thanks.
Saro
Solved! Go to Solution.
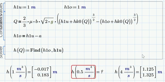
There are a few pitfalls along the way.
The Solve block solves for two variables, but Prime does not allow vectors that contain function definitions.
You could do it like this:
This function with both values as the result could now be broken down again into two individual functions. Since the Solve block sometimes does not find a solution (for values of Q less than 0.809993 m³/s), this error can be intercepted using try..onerror:
Now you could use the functions for plotting,
but of course you can also use them to create a table of values
EDIT: Just noticed that in the picture I forgot to add the unit for Q in the header text. Is fixed in the attached file.
Prime 10 file attached
You have to turn the expressions which are dependent on Q into functions of Q.
This also can be done using the solve block -> Parameterizing Solve Blocks
BTW, your thread
still is not closed.
If there are still any questions feel free to follow up. Otherwise consider to close the thread.
Thank you I forgot to close it - i closed it now. I will try your request.
Thank you for now.
But this doesn't calculate my individuelle variables in my table. Do you mean I should write Q1 = 2, Q2 = 2 and so on, but I wanted it to be less typing - so that they is a shorter way. I was thinking doing it maybe with vectors. that I say my Q :=1...10 (until whatever number), but that doesn't work with units. So that it gives me all individual variables in the table. I am not a native speaker - I can't really say it the way I want to.
I might not understand what you mean. I kind of don't get it with the link
Our answers have crossed. See my last answer with the attached sheet which as I guess should deal with the problems you experience.
BTW, I'm no native speaker, too, and it seems that we both are German speaking 🙂
This is perfect!!! Kann ich ab sofort mit Ihnen auf Deutsch kommunizieren? Es ist jedenfalls einfacher in seiner Muttersprache zu erklären, was genau das Problem ist.
Sind Sie Professor oder Ingenieur? Sie kennen sich nämlich sehr gut bei Mathcad aus.
There are a few pitfalls along the way.
The Solve block solves for two variables, but Prime does not allow vectors that contain function definitions.
You could do it like this:
This function with both values as the result could now be broken down again into two individual functions. Since the Solve block sometimes does not find a solution (for values of Q less than 0.809993 m³/s), this error can be intercepted using try..onerror:
Now you could use the functions for plotting,
but of course you can also use them to create a table of values
EDIT: Just noticed that in the picture I forgot to add the unit for Q in the header text. Is fixed in the attached file.
Prime 10 file attached
Wow. Ich werde bisschen brauchen um das alles zu verstehen, ich danke Ihnen vielmals. Sie sind mega! Vielen lieben Dank. Ich werde Sie wahrscheinlich in den kommenden Tagen fragen, falls ich was nicht verstehe.
Sie sind sehr nett mir das alles zu erklären.
Liebe Grüße
Saro
Ich werde Sie wahrscheinlich in den kommenden Tagen fragen, falls ich was nicht verstehe.
Nur zu, gerne!
