Community Tip - Need to share some code when posting a question or reply? Make sure to use the "Insert code sample" menu option. Learn more! X
Hello,
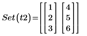
I have this vector:
I want automatically to eliminate duplicate elements, and to retain only those elements which are not duplicate from the vector:
How to do this?
Solved! Go to Solution.
Thank you.
If there are other solutions and other ideas (from anyone) they are welcome as well.
Why in the second case function does not work properly? Why I need to give separately entire vector, and not t variable? In the first case it worked...
Probably the cause is numerical (in)accuracy. Your numbers have 17 significant digits at most. The set() function requires exact equality.
Success!
Luc
Ah, ok
OK
Not OK
Is it possible to modify the above set() function in order to accept also a matrix?
Do you want them by column:
or over the entire matrix:
Which can also be:
Success!
Luc
