Community Tip - Did you get called away in the middle of writing a post? Don't worry you can find your unfinished post later in the Drafts section of your profile page. X
Hello.
Could someone help me, please, with this task? An error while trying to find Symbolic solution of a system of linear equations with specific accuracy. What I should do make it done?
Solved! Go to Solution.
You should definitely attach your worksheet, because this simply works:
The other thing is: Why do you insist on a symbolic solution for a pure numerical problem?
The symbolic problem would be:
with as solution:
(That's not a grey line, but a very long expression, zoomed out)
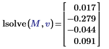
The four individual answers are:
Success!
Luc
Always additionally attach the worksheet itself.
Chances are that at least one of the variables you solve for was already assigned a value before. Try typing w:=w, etc. before trying to symbolically solve.
Thank you.
You should definitely attach your worksheet, because this simply works:
The other thing is: Why do you insist on a symbolic solution for a pure numerical problem?
The symbolic problem would be:
with as solution:
(That's not a grey line, but a very long expression, zoomed out)
The four individual answers are:
Success!
Luc
Thank you. I opened new document and made copy past all equation and finally it works. I don't know why it was not worked on previous worksheet. Maybe because I have several worksheet pages (I made laboratory tasks).
@Nataly_S wrote:
Thank you. I opened new document and made copy past all equation and finally it works. I don't know why it was not worked on previous worksheet. Maybe because I have several worksheet pages (I made laboratory tasks).
As already written I guess that in your original sheet you already had assigned a value to one of the variables w, x, y or z. In this case the symbolics throws the error shown in your pic. Solution is to make this variable unknown to the symbolic engine again by typing w:=w x:=x, etc.
