Community Tip - If community subscription notifications are filling up your inbox you can set up a daily digest and get all your notifications in a single email. X
Hello, PTC community,
I defined a function in Mathcad prime 9 for plotting the displacement response (Y-axis) versus time (X-axis). This plot is for a single time period T.
I want to get the maximum displacement (Y-value) from the graph for each time period T.
For example, I want the maximum displacement values from the plot for Time period T if T= 0.02, 0.2, 4.
eg
T= 0.2 max. displacement: xx
T:0.4 max. displacment xxx and so on.
I attached the mathcad file and it imports a text file containing earthquake data which is also attached for your reference.
I would really appreciate your help.
Thanks,
Abdur
Solved! Go to Solution.
Here are my 2 cents. A simple function should do the job.
Prime 9 file attached
Hi Abdur_2063,
Thank you for your question.
I’d like to recommend to bring more details and context to your initial inquiry.
It also helps to have screenshot(s) or a short video to better understand what you are trying to do in your process.
This will increase your chances to receive meaningful help from other Community members.
Regards,
Community Moderation Team.
Thank you very much for responding and helping.
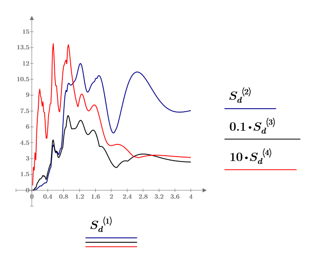
I have been using Mathcad to apply the Newmark method and successfully plotted the displacement versus time for earthquake ground motion. However, I'm facing a challenge in extracting the maximum displacement values for each time period (T=0.02s to 4s in increments of 0.02s) from my plot.
My goal is to create a new plot with time on the X-axis and the corresponding maximum displacement values on the Y-axis (Response Spectrum Curve)
I've attached the Mathcad file for reference. I would greatly appreciate your insights.
Thanks,
Abdur
Thank you very much for the help and guidance.
Abdur
Looks very similar to
Solved: Re: "Encountered floating point error" - PTC Community
Here are my 2 cents. A simple function should do the job.
Prime 9 file attached
Thank you very much for the help. I really appreciate it.
Abdur
