cancel
Showing results for 
Search instead for 
Did you mean: 
cancel
Showing results for 
Search instead for 
Did you mean: 

Community Tip - Visit the PTCooler (the community lounge) to get to know your fellow community members and check out some of Dale's Friday Humor posts! X

Translate the entire conversation x

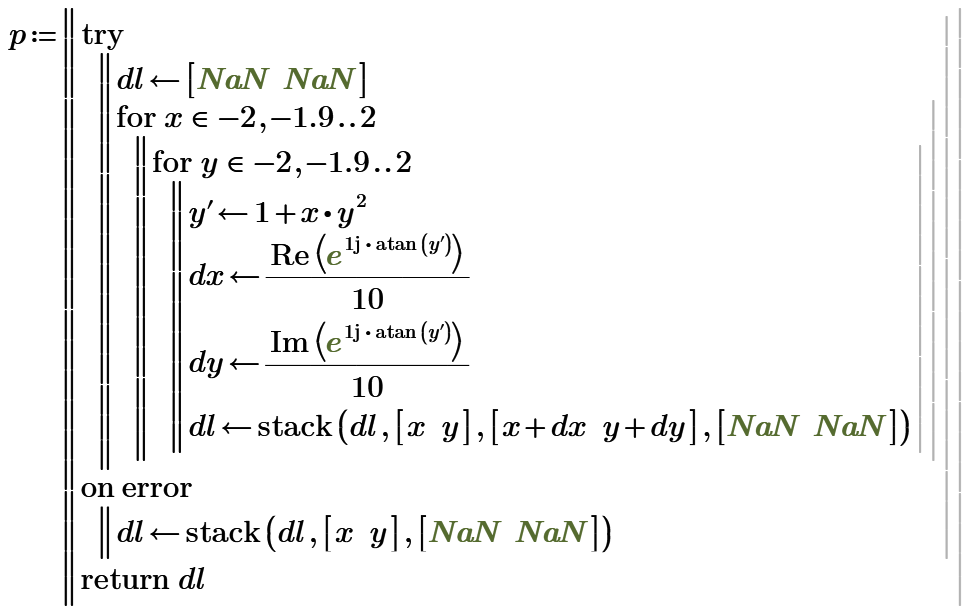
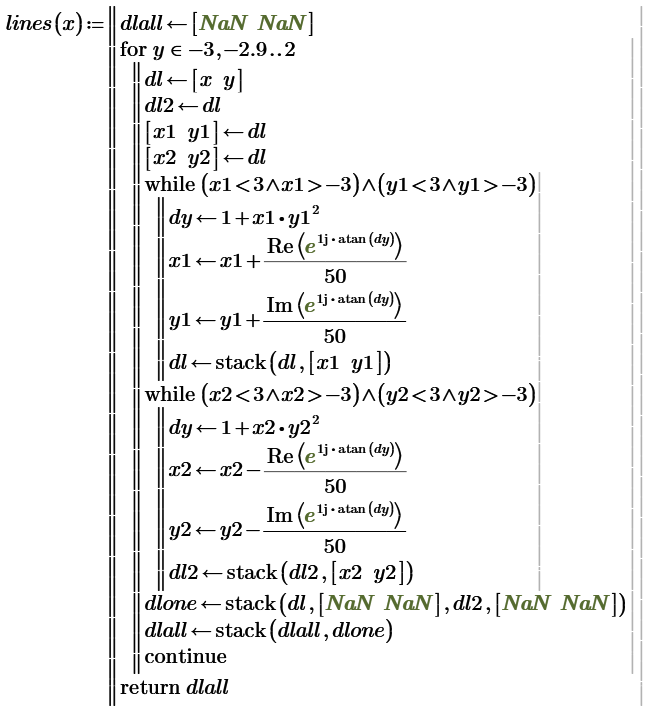
How to make a slope field plot of differential equation in Mathcad Prime (8)?

Cornel
19-Tanzanite

How to make a slope field plot of differential equation in Mathcad Prime (8)?

Hello,

Cornel_0-1690802466469.png

 

 

 

Cornel_1-1690802501006.png

 

 

4 REPLIES 4
ttokoro
21-Topaz I
(To:Cornel)

image.pngimage.pngimage.png

ttokoro
21-Topaz I
(To:ttokoro)

image.pngimage.png

image.pngimage.pngimage.png

Werner_E
25-Diamond I
(To:Cornel)

ttokoro
21-Topaz I
(To:Cornel)

image.pngimage.png

Announcements

Top Tags