Community Tip - Did you get called away in the middle of writing a post? Don't worry you can find your unfinished post later in the Drafts section of your profile page. X
Hi,
Is it possible to solve somehow with odesolve block integro-differential equation like below? Or how this type of eq can be solved numerically?
Solved! Go to Solution.
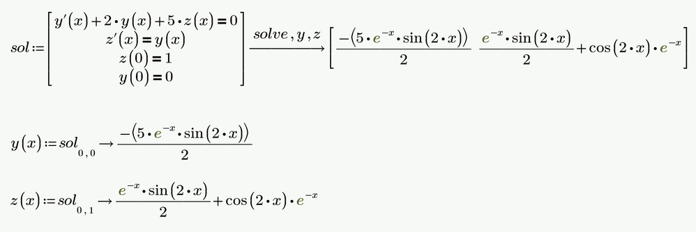
I don't think that Prime would be able to solve that integral equation, but you can easily rewrite it (substitute y*=z') and then you could solve it symbolically
or that way:
After differentiation, a homogeneous linear second order differential equation with constant coefficients is obtained. The double zero of the characteristic polynomial is -1. Therefore, the solution has the structure y(t)=a*exp(-t)+b*t*exp(-t). The coefficients a and b are calculated from initial/boundary values.
Sorry, I have to correct myself, because the 5 was overlooked. The zeros of the characteristic polynomial are now lambda1=-1+2*i and lambda2=-1-2*i. Therefore y(t)=a*exp((-1+2*i)*t) +b*exp((-1-2*i)*t). Apply Euler's equation to this, according to which exp(i*y)=cos(y)+i*sin(y). Calculate the coefficients as usual from the initial values and after inserting them into the integral equation.
I have to correct also myself in my above second time file posted . But I am still interested if any other numerical method solution for this integro-differenial eq is possible but not making further differentiations (so, solving the integro-differential eq as it was posted initially in a odesolve/solve block or whatever).
For y(0)=1, everything is fine with this problem 😉 .
There is no general solution method for integro-differential equations. Difficult cases can often only be solved approximately using the Ritz-Galerkin minimum problem. This often helped me in the past.
I don't think that Prime would be able to solve that integral equation, but you can easily rewrite it (substitute y*=z') and then you could solve it symbolically
or that way:
Additional remark:
If you want to solve an equation which is too complicated for Primes symbolic, you still can replace the integral by a function z(x) with z'(x)=y(x) and use a numeric solve block:
