Community Tip - Did you get called away in the middle of writing a post? Don't worry you can find your unfinished post later in the Drafts section of your profile page. X
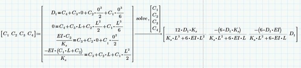
I'm trying to solve this system of equations symbolically (ie I want the constants Ci to be in terms of all the symbols. My professor used Mathcad 15 which seems to work differently. As seen in the picture below. Can this be done on mathcad 7?
Hi,
You do not need the solve block in Prime just the symbolic with the keyword solve.
"You do not need the solve block in Prime just the symbolic with the keyword solve"
It's rather: "you cannot use the solve block symbolically in Prime" as opposed to Mathcad 15 and before.
Other things you can do:
Success!
Luc
The picture you posted stems from the original, real Mathcad (versions up to 15).
In this version it was possible to symbolically evaluate a solve block.
This functionality is not available / is broken in Prime. So you have to put the four equations in a vector and use to the symbolical "solve" command as Terry has shown.
