Community Tip - Did you get an answer that solved your problem? Please mark it as an Accepted Solution so others with the same problem can find the answer easily. X
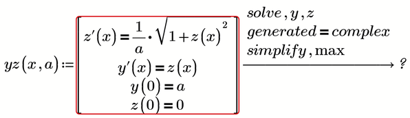
From Val Ochkov: How to solve in Prime 9?
Any news from the mods/admins concerning Valery's login problem?
According the question it looks like Wolfram's symbolics is more capable than Prime's - no surprise.
Prime needs a lot of help from the user to come up with a symbolic solution.
Here is an elaborate way that I came up with. Maybe someone can find an easier approach ...
Prime 9 worksheet attached
Here a slightly shorter approach
Unfortunately Prime does not accept the initial conditions (error: no solutions found) as otherwise we could get the desired solution in one go 😞
"Any news from the mods/admins concerning Valery's login problem?"
PTC say they are not the ones preventing him from posting.
@AlanStevens wrote:
"Any news from the mods/admins concerning Valery's login problem?"
PTC say they are not the ones preventing him from posting.
Well, at least. Then I guess Valery would probably need a (better?) VPN to outsmart the block on his side. I'm lacking experience, though.
