Community Tip - If community subscription notifications are filling up your inbox you can set up a daily digest and get all your notifications in a single email. X
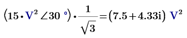
Prime tries to turn your VLL squared over the angle 30°/S3phi, and with S3phi bearing a power unit, that results in a unit error: The unit deg/W is not compatible with an angle. Now Prime isn't very careful with pointing to the right spot of an error, so you're getting a somewhat cryptic error message. Here's the same situation:
If you put brackets ( and ) around the polar conversion it works.
Or rewrite:
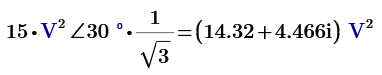
Which also indicates that you should be cautious with the other expressions involving that polar conversion operator:
Success!
Luc
Prime tries to turn your VLL squared over the angle 30°/S3phi, and with S3phi bearing a power unit, that results in a unit error: The unit deg/W is not compatible with an angle. Now Prime isn't very careful with pointing to the right spot of an error, so you're getting a somewhat cryptic error message. Here's the same situation:
If you put brackets ( and ) around the polar conversion it works.
Or rewrite:
Which also indicates that you should be cautious with the other expressions involving that polar conversion operator:
Success!
Luc
Thanks! That worked.
