Community Tip - If community subscription notifications are filling up your inbox you can set up a daily digest and get all your notifications in a single email. X
I tried using symbolic to implement without success. Any hints on how I can implement this. and later use Laplace transformation?
Solved! Go to Solution.
I added units and played around with Prime 9 new symbolic ODE solver.
It is not able to give a solution for a generic function E(t) but we have to define E(t) before we solve.
Nice, nonetheless.
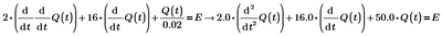
This like substitution seems to not work in this case:
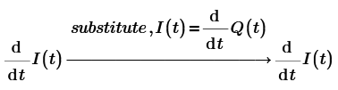
Only manually if you make the substitution,..
With the "substitute" operator you can do this for example:
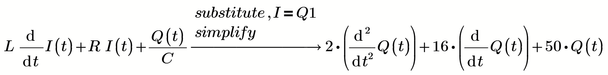
It seems to work defining an intermediate function for the derivative
I added units and played around with Prime 9 new symbolic ODE solver.
It is not able to give a solution for a generic function E(t) but we have to define E(t) before we solve.
Nice, nonetheless.
