Community Tip - If community subscription notifications are filling up your inbox you can set up a daily digest and get all your notifications in a single email. X
Hello Everyone.
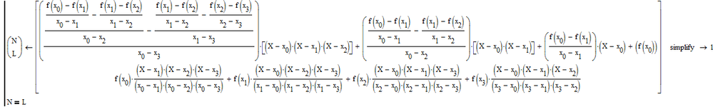
From :
Thanks in advance.
Sorry, but I (or we) do not understand your question or an ask for help!
Many thanks for your time and help, Valery and Luc. I think my question is not clear :
Regards.
So, the vector created was OK , but it didn't show the way you like it... is that it?
In that case, let me tell you:
It is very hard to control the shape of output of the symbolic processor.
Success!
Luc
I think my question should be : "How to create the Divided-Difference-Formulas-Schema in the vector ?" :
