Community Tip - Did you know you can set a signature that will be added to all your posts? Set it here! X
Hi everybody, ![]()
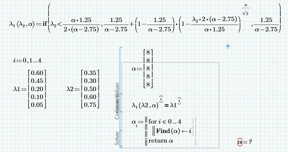
my question is about, how can I programming a loop for a list of values in a 3d function. I'll try to explain myself. I have a 3d surface equation and it works fine with a single values like this:
but I want to repeat the calculation in a loop for a pair of list of values, something like this:
What I'm doing wrong?. Mathcad reports "This variable is undefined. Check that the label is set correctly".
Any idea?
Thanks and congratulations.![]()
Note: equations was obtained from thread "T-stub method" in this forum. Thanks unknown member.
Like so:
Alan
Looks like a sheet I created for someone here quite some time ago.
Here is a slightly different approach using one of the two flavours of the root command (either with a guess or with a range as argument) and a vectorized function call instead of using a range variable.
Thank you everybody!
It works fine!. Mathcad is awesome. Surprise me everyday
Thanks again.
