Community Tip - Did you get called away in the middle of writing a post? Don't worry you can find your unfinished post later in the Drafts section of your profile page. X
Hello Everyone.
From :
Mathcad 15 , How to : M , Symbolic Evaluate ---> ?
Thanks in advance for your time and help.
Best Regards.
Loi.
Solved! Go to Solution.
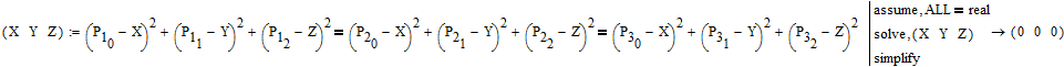
A=P1,B=P2,C=P3
I greatly appreciate your time and help. Many, many, many thanks, Ttokoro. 🤔 🙄. I got it :
The reason that I need help with this question is the following :
Best Regards.
Loi.
BTW, as already mentioned in the other thread - ttkoros way to plot the arc will fail if the arc angle is equal to or greater than 180 degree. Furthermore the points created to represent the arc are not equally spaced - points in the middle of the arc are farther apart. Using enough points can hide that effect efficiently, though.
Unfortunately your "solution" usually returns a wrong (or better: not the desired) result! It works OK in this case because the z-coordinate of the desired center is 0. But your symbolics solution will always use 0 for the z-coordinate of the result.
Reason is that your approach just returns ONE (of the infinite number of) point with the equal distance to all three given points. This usually is NOT a point in the plane of the three points.
You would need to add this coplanarity constraint in some way, too!!
Your solution could be written simpler by using an auxiliary function for the square of the distance of two points:
But if we translate all points by, lets say, (5;5;5), the result is not the center we look for (which should be (5;5;5).
Mathcad knows that there are an infinite number of solutions
which of course all lie on a straight line:
What we are looking for is the intersection of this line with the plane P1 P2 P3 ....
Guess that means - back to the drawing board 😉
Good luck!
BTW, in the other thread I also had troubles talking the symbolics into providing a solution for the problem and I ended up with a solution which was way more elaborate than I'd had wished it to be:
Mathcad Community Challenge July 2022 - Area of a ... - PTC Community
If the center of circle is not [0,0,0]
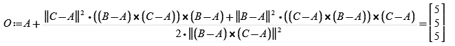
THATS sure a true solution and its beautiful because it is a direct calculation and does not require the usage of the weak symbolic "solve".
Could you elaborate in detail on the thinking behind of this? Never mind - got it!
Here is a slightly different function, based on the barycentric coordinates of the circumcircle and their conversion to cartesian coordinates
or with three separate point as input
Here's your problem, symbolically solved in Mathcad 11:
(The symbolic answer is several pages wide and probably will not show in Mathcad 15)
Now with the given points P1...P3 I get your desired result:
That's as close as numerical non-zero gets to 0.
But I can fill in arbitrary numbers, such as:
or
Success!
Luc
I save your ***.mcd into ***.xmcd . And I think your MC11-engine is more powerful than my MC15-engine in this case. :
Best Regards.
Loi.
