Community Tip - If community subscription notifications are filling up your inbox you can set up a daily digest and get all your notifications in a single email. X
When setting up a Mathcad Prime 8 document which makes use of specified Input / Output parameters, I've noticed that while Input Parameters have their default alias in the designation list be the same as their name in the document (entirely sensible), Output Parameters default to having the name "out" and alias "out_x" with x counting up. Does anyone know of a way to make the default alias be the same as the name of the parameter similar to Inputs? Screenshots of my lovely Inputs and less lovely Outputs included below.
Thanks in advance.
Solved! Go to Solution.
You can only name a definition as an input, you can only name an evaluation as an output.
Definitions are:
<defined item> := expression
The <defined item> is an item that you've given a name and that Prime 'knows' by that name. Prime can always use the <defined item> as an alias for that definition when set as input.
Evaluations are:
Expression = <result of the evaluated expression>
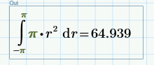
Since the expression can be anything from a simple variable, to a complicated expression, it is hard to set a rule for naming it. Example, you can set the following as an output
What should Prime name it?
Success!
Luc
Please post your Prime worksheet (or a worksheet with an example).
Success!
Luc
Thanks for your reply. I've added an example worksheet as well as a screenshot to better illustrate my point.
The only alias I have manually edited is "output_whose_alias_i_renamed". I'm asking why "output_with_alias_not_named_after_itself" isn't named after itself like the input is, and instead has the alias "out".
You can only name a definition as an input, you can only name an evaluation as an output.
Definitions are:
<defined item> := expression
The <defined item> is an item that you've given a name and that Prime 'knows' by that name. Prime can always use the <defined item> as an alias for that definition when set as input.
Evaluations are:
Expression = <result of the evaluated expression>
Since the expression can be anything from a simple variable, to a complicated expression, it is hard to set a rule for naming it. Example, you can set the following as an output
What should Prime name it?
Success!
Luc
