Community Tip - If community subscription notifications are filling up your inbox you can set up a daily digest and get all your notifications in a single email. X
Hello,
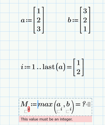
I am having difficulty applying the solution here:
https://community.ptc.com/t5/Mathcad/Maximum-Value-from-Tables/td-p/999431
I have set-up a minimum example here with two arrays. When I try to get the maximum, an error is caused by the range variable i, "This value must be an integer".
I am using PTC Prime 9.
Appreciate your help!
Solved! Go to Solution.
Thank you - definitely a subtle difference!
Just for completeness and for others viewing this.
Prime 11 does away with the undocumented trick so you can use inline evaluation.
Personally I would prefer using a generic utility function (necessary because the built-in "max" can't be vectorized) instead of a range variable specific to the vectors in question.
Its also independent from the definition of ORIGIN.
Prime 9 sheet attached
