Community Tip - If community subscription notifications are filling up your inbox you can set up a daily digest and get all your notifications in a single email. X
So i had to do some work in laplace. I used matlab instead because mathcad couldnt figure out the answer.
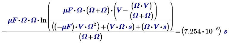
My matlab script does it no problem and returns the equation in this attached sheet. I have removed the numbers for simplicity. This is the time domain inverse laplace equation.
The answer is correct. When i input the number i get what i expect.
the problem is, i need this to be in mathcad to go with some other work.
When i add it to mathcad, it does not like the units.
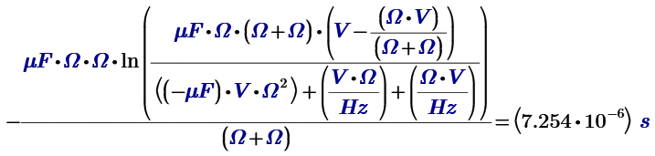
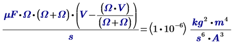
The sheet i have attached is just doing the math with the units to show where the problem is. Mathcad is upset because in a certain part of the equation its multiplying Volts by ohms
This is just a fact of what the inverse laplace is. The answer of the equation should have units of seconds.
I have no idea how to make this work. Im sure there is some trick to this.
Can someone lend a hand?
Solved! Go to Solution.
or
thank you very much. Can you explain a little bit about what you did. I see you got it to work but i dont fully understand
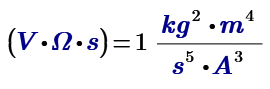
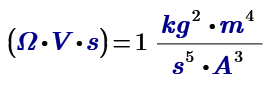
it seems that your formula is missing something, an s (second), or maybe something like Hz:
I just multiplied the s as you did and it worked. Thank you very much. You literally just saved my entire day.
