Community Tip - Have a PTC product question you need answered fast? Chances are someone has asked it before. Learn about the community search. X
Hi dear!
You can take my credit card and do unlimited shopping.
PS
The pin code see below. Mathcad will not help!
Mathcad will not help!
Why not?
So depending on how much digits are needed, you use 2127 or 212752
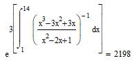
BTW, most sources of this joke use 3x^3 and not 3 x^2.
This "joke" can be found in various variations, none of them would contain a math expression which results in an four or six digit integer. Its not meant to really be evaluated - its just about a (rather meaningless) math formula which should look very complicated to a layman.
So you may take any terrify looking formula which simplifies to an integer.
E.g.
So you may take any terrify looking formula which simplifies to an integer. And Mathcad cannot help you!
One more same joke!
My pin code is the last four digits of the pi number.
Which not calculated yet!
More realistic would be a pin which. lets say, starts at position 2458885 after the comma.
This is a real existing PIN but nonetheless Mathcad won't be of much help (unless you program something like the spigot algorithm yourself in MC).
And its so convenient, as its much easier to remember the digits of pi and the seven digit position than the four or six digit PIN 😉
