Community Tip - You can subscribe to a forum, label or individual post and receive email notifications when someone posts a new topic or reply. Learn more! X
Dear All,
I need to solve a non linear equation in mathcad 15.
Input
After a physical test, I obtain the Mbase and phi value, that I use to determine mu trend (right graph).
I after need to use the mu function in a non linear equation, to determine the equilibrium configuration of the structure.
NL equation
How can I use the mu(phi) function in the NL equation? if I set mu as constant I don't have any problem.
I have a problem with mathcad file attach.
Best regards
Stefano
Solved! Go to Solution.
To include the mathcad file you need to zip it first.
Hi,
Dear MR,
thanks for your reply.
I don't need to find the solution in previous point, but I would like to define a mu function from where the non linear equation catch the value for the numerical solution.
The mu parameter is not constant but vary with the rotation (phi), so I need to create a spreadsheet that automatically iterate the mu function.
If the function was defined, I don't have any problem, but in this case, the function is defined by data points, and I need to interpolate this value to solve the NL equation.
Best regards
Stefano
For example:
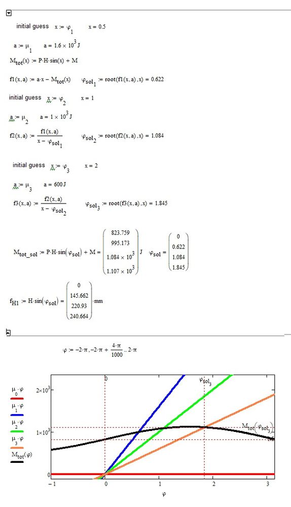
NL solution
Now mu is a function of phi and the NL solution is reported in the previous picture.
I don't know how can I create the mu function by data point that can be used in the NL equation.
Best Regards
Stefano
Hi Stefano,
I'm on the right track? it seems to be just what you are looking for.
Yes absolutely,
I need a function to implement into the NL equation.
Your procedure is really interesting, but if is easier for you, we can use a linear interpolation beetwen the data points.
This case is an example, in pratice I have many other points.
Thanks again
Stefano
Can you share the mathcad file?
Now I try to understand the programming command.
Thanks and best regards
Stefano
I have problem to understand the logic command of this point
Can you please explain me more?
Best regards
Stefano
