Community Tip - Did you get called away in the middle of writing a post? Don't worry you can find your unfinished post later in the Drafts section of your profile page. X
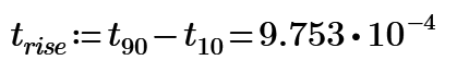
I am trying to calculate the rise-time of this system, but I am having trouble finding the 90% of steady state (ss).
Does anyone have an idea how to calculate the rise time of the system?
