Community Tip - Did you get an answer that solved your problem? Please mark it as an Accepted Solution so others with the same problem can find the answer easily. X
Hello everyone!
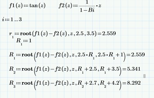
I'm still struggling with with my problem. Let's say, I have to solve this. I need at least 7-8 first solutions of this equation. I could use given/find, but I would like to change parameter Bi in the future and then I would have to change guess values as well. Any suggestions? Thanks in advance ![]()

I was trying this method (there's different Bi, that's why soultions don't match the first photo), but I'm not sure, if I can get anywhere with it.

Thanks in advance and cheers,
Peter
Solved! Go to Solution.
If f1(z) is always tan(z), just increment your guess value by pi:

See my post in your original thread.
