Community Tip - Did you get an answer that solved your problem? Please mark it as an Accepted Solution so others with the same problem can find the answer easily. X
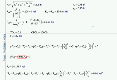
The solve block is not finding a solution. I'm using Mathcad Prime 10
But using the same formula I can iterate a solution I think is convenient enough. What am I doing wrong?
I though maybe changing TOL or CTOL would be the solution but no.
Solved! Go to Solution.
Its amongst others a matter of choosing the correct guess value.
I turned the solve block into a function with the guess value as function argument, so we can easily check different guesses.
I don't understand why the solve block fails for most guesses and will only work around 9,73 ksi, which actually is just one of three possible solutions. I also tried to choose different algorithms for 'find' to use, but to no avail.
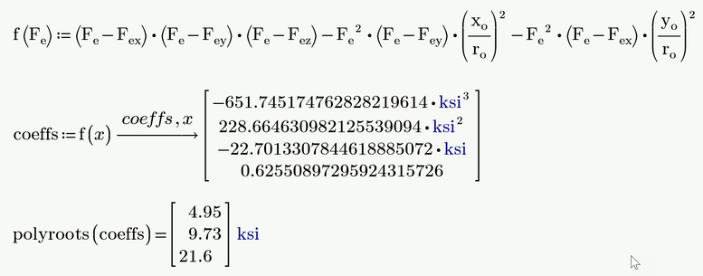
The equation you try to solve is a simple cubic equation which of course can be solved by Primes symbolics:
Being a polynomial we can also solve it using the "polyroots" function. This functions expects the coefficients of the equation as its argument and not the equation itself. So I used the symbolics to get the coefficients the most convenient way:
But I would suggest that you rater use Primes "root function. It seems to be much more benign and easily finds all solutions with suitable guess values.
I really don't understand why the solve block fails so badly, the cubic looks quite innocent and well-behaved
Prime 10 sheet attached
Please attach worksheet.
No clue as to what your program does. But symbolc engine can find answers, and answer as a guess satisfies solve block. Prime 10 file attached.
Roger
Its amongst others a matter of choosing the correct guess value.
I turned the solve block into a function with the guess value as function argument, so we can easily check different guesses.
I don't understand why the solve block fails for most guesses and will only work around 9,73 ksi, which actually is just one of three possible solutions. I also tried to choose different algorithms for 'find' to use, but to no avail.
The equation you try to solve is a simple cubic equation which of course can be solved by Primes symbolics:
Being a polynomial we can also solve it using the "polyroots" function. This functions expects the coefficients of the equation as its argument and not the equation itself. So I used the symbolics to get the coefficients the most convenient way:
But I would suggest that you rater use Primes "root function. It seems to be much more benign and easily finds all solutions with suitable guess values.
I really don't understand why the solve block fails so badly, the cubic looks quite innocent and well-behaved
Prime 10 sheet attached
Thank you all for your time. I thought about trying (some of) these alternates you analyzed but I don't have the Mathcad knowledge to tackle them.
You are very clever, thank you. Maybe the Mathcad devs can see into this matter to improve the solve block utility.
Continued to play around with the solve block and "find".
I thought that the problem might be the missing unit (ksi^3) on the right hand side after the zero.
Then I had the idea to divide the equation by ksi^3 and ... voilà!
As you can see we get a result using your guess value 30ksi as well.
So there is something PTC could/should fix/improve considering usage of units in a solve block.
