Question
Rounding Issue - MathCAD Prime 9
I am hoping you can help.
As you can see below, I would like B17 to be 32.95, as if B15 is 0.005 and above, it should round up. And if it is 0.004 and below, it should round down.

you can
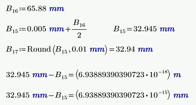
I am hoping you can help.
As you can see below, I would like B17 to be 32.95, as if B15 is 0.005 and above, it should round up. And if it is 0.004 and below, it should round down.

you can
Enter your E-mail address. We'll send you an e-mail with instructions to reset your password.