Community Tip - Did you get called away in the middle of writing a post? Don't worry you can find your unfinished post later in the Drafts section of your profile page. X
Could someone help me to find the Area, CG and Second moment of area of a cross section using the two matrices SEC and CR.
Solved! Go to Solution.
Hi,
Here is a mathcad 15 file that gives area, cg, I in both x and y of a section defined by coordinates.
All you need to do is convert it to Prime.
It works with origin = 0.
Cheers
Terry
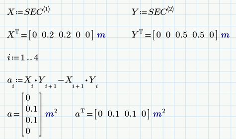
According the erroneous calculation of a:
X and Y must be column vectors, otherwise (you defined them as row vectors) you would need two matrix indices to access single elements of them. You may use the transpose operator for displaying X and Y, but not when you define them.
The i in a.i has to be a vector index, not a literal index as you typed.
In your sheet you have ORIGIN set to 1 (instead of the default value 0). So your range must run starting from 1 as there is no element with index 0.
Furthermore i must only run up to 4, as you are using i+1 as index and the last index in your vectors is 5.
Hi,
Here is a mathcad 15 file that gives area, cg, I in both x and y of a section defined by coordinates.
All you need to do is convert it to Prime.
It works with origin = 0.
Cheers
Terry
