Hello Everyone.
From :
To :
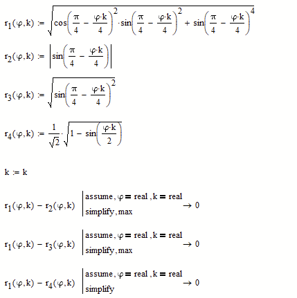
How to simplify ---> 0 ?
Thanks in advance.
Regards.
Solved! Go to Solution.
We already had this in another thread of yours:
So get rid of the unnecessary absolute value in r1 and tell Mathcad that k is a real, too
You now get the solution not only for k=1 but for any (real) k:
Next time you have troubles with the absolute function with real(!) arguments, you could instead use
Using this replacement (for reals only! Not for non-reals and also not for vectors!) you can even use the unnecessary absolute value in r1
We already had this in another thread of yours:
So get rid of the unnecessary absolute value in r1 and tell Mathcad that k is a real, too
You now get the solution not only for k=1 but for any (real) k:
Next time you have troubles with the absolute function with real(!) arguments, you could instead use
Using this replacement (for reals only! Not for non-reals and also not for vectors!) you can even use the unnecessary absolute value in r1
Many thanks, Werner. I got it.
Werner, I still have a small query as the following:
Thanks in advance.
It works that way
But chances are that the next time Mathcad's symbolic will not be capable enough to solve your problems 😉
