Community Tip - Did you get an answer that solved your problem? Please mark it as an Accepted Solution so others with the same problem can find the answer easily. X
Hello, I've reached a point on my calculation where I'm stumped and I'm hoping one of you can help. I'm admittedly not the most knowledgeable when it comes to solve blocks. I'm attempting to find the biaxial bending moment of the column/pedestal and cannot get the solve block to find the correct answer. I've tried different iterations of the solve block where I've defined every constraint, but I've wittled it down for this worksheet. Essentially, I'm looking for a point where the axial force and moment ratios are equal in the column. I've attached my worksheet. Any guidance you guys would have would be appeciated!
Solved! Go to Solution.
The problem with your solve block is, that P.u, P.n, M.ux, etc. all already are constant values. Prime won't look back to see how these values depend on c.ped and alpha. The solve block would need these to be functions of c.ped and alpha to be able to iterate and find a solution.
Unfortunately this would mean that you have to change your worksheet massively. Every value which is now calculated and depends on c.ped or alpha has to be turned into a function. As far as I see that means starting with
and then
and
etc. (I found your sheet quite difficult to edit because you place all your calculations into limiting text regions)
As you see you can evaluate the functions using the value you had assigned for alpha beforehand. Of course you could name the function differently, e.g. getxy1(alpha) and then assign xy1:=getxy1(alpha) if you need to do so. But every calculation the later solve block should depend on has to use the functions, not the constant values.
A good method to see if you got all occurrences and changed them to function use is to disable the regions in section 3.5.1.2. No function definition below should show an error.
The constraints in your solve block are not functions of the variables whose values you want to find: alpha and c.ped. Hence it cannot find values for them.
Prime does NOT look up in the sheet to see how you may have defined any of the P and M values, it wants to see P.u(alpha, c.ped) etc. as appropriate. Or you can write out the full expressions ( involving those alpha and c.ped ) into the constraints section.
Success!
Luc
Thank you for the help! Unfortunately I'm still a little confused. Would I be defining the P & M values (in terms of alpha & c.ped) as guess values or would those just be additional constraints?
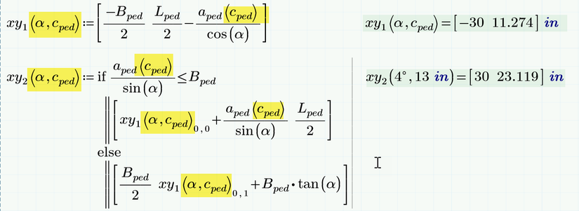
The problem with your solve block is, that P.u, P.n, M.ux, etc. all already are constant values. Prime won't look back to see how these values depend on c.ped and alpha. The solve block would need these to be functions of c.ped and alpha to be able to iterate and find a solution.
Unfortunately this would mean that you have to change your worksheet massively. Every value which is now calculated and depends on c.ped or alpha has to be turned into a function. As far as I see that means starting with
and then
and
etc. (I found your sheet quite difficult to edit because you place all your calculations into limiting text regions)
As you see you can evaluate the functions using the value you had assigned for alpha beforehand. Of course you could name the function differently, e.g. getxy1(alpha) and then assign xy1:=getxy1(alpha) if you need to do so. But every calculation the later solve block should depend on has to use the functions, not the constant values.
A good method to see if you got all occurrences and changed them to function use is to disable the regions in section 3.5.1.2. No function definition below should show an error.
Thanks for the explanation! It was a massive rework, but I believe I got it to work!
