Community Tip - Did you get an answer that solved your problem? Please mark it as an Accepted Solution so others with the same problem can find the answer easily. X
Unsure if solveblock will work Please help
Solved! Go to Solution.
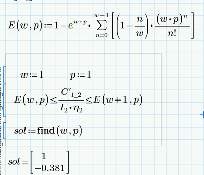
You may do it that way
But whatever guess value you chose for w, it will be returned unchanged, only the (negative) value for p changes
So you could as well use the solve block to just find p dependent on w:
p as a function of w:
You may do it that way
But whatever guess value you chose for w, it will be returned unchanged, only the (negative) value for p changes
So you could as well use the solve block to just find p dependent on w:
p as a function of w:
