Community Tip - You can subscribe to a forum, label or individual post and receive email notifications when someone posts a new topic or reply. Learn more! X
Unable to use solve block to find the result. Am i doing something wrong? Please help
Hi,
Using a solve block that has one equation and some constraints can only solve for one variable. Choose p.
Need a [Ctrl]= for equality testing of single expression
Make the solve block into a function called sol in terms of w then solve for a number of w's
Thank you for the support and information this helps alot. Using this into further equation I am getting error that this value must be a scalar or matrix could you please help
Hi,
There are several problems. The way round the problems is indicated in the file
Cheers
Terry
Actually the whole expression in the solve block should be deleted as the function E() is already defined above.
BTW, because of its position your plot
still uses the range w (0..10) and not the later defined vector w.
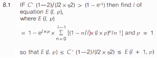
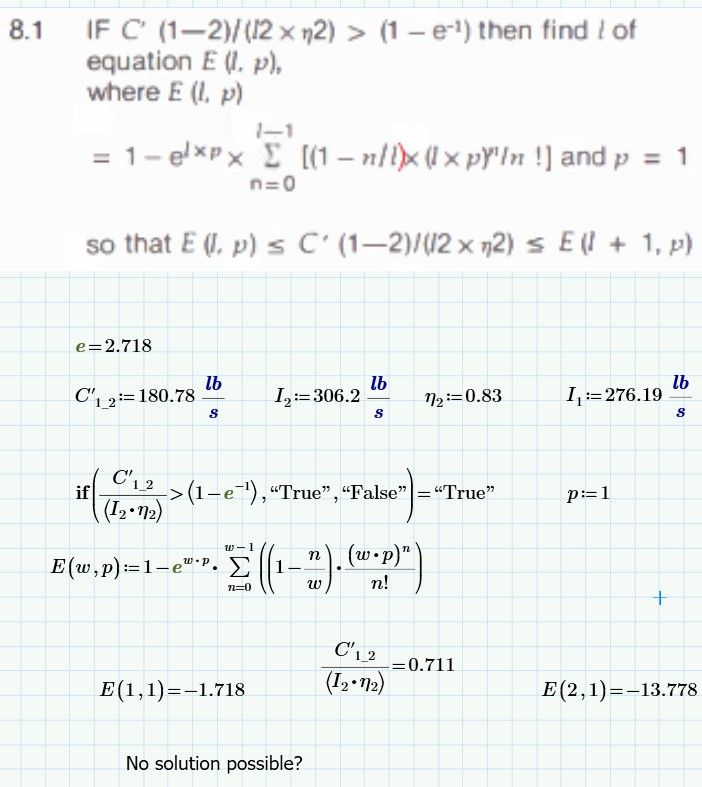
I am trying to get answer following above ss and later for C1_2
I though this will lead to a single value solution for l and later on for C1_2. Is it possible to have a program that would evaluate l in my case w to get the solution ?
Please avoid double posts!
See: https://community.ptc.com/t5/Mathcad/Solve-block/m-p/886844/highlight/true#M207540
