Community Tip - Stay updated on what is happening on the PTC Community by subscribing to PTC Community Announcements. X
Diagonal resistance of regular polyhedron. R(4)=1/2, R(6)=5/6. How about R(8), R(12) and R(20)?
Solved! Go to Solution.
Hi,
A simplification of the network topology allows you to easily apply Thevenin's theorem:
the solution you have provided is more accurate, thanks for sharing this with use... this will really help to other also tellpopeyes!
Note that this is a different network than the original network of Ttokoro.
If the entrance is at the top (as shown) then the exit should be at the crossing of Z7, Z11 and Z12, not on the crossing of Z2, Z3 and Z7!
Success!
Luc
In fact, I referred to the network (1) in the photo, instead I should have analyze the (2):
The diagonal resistance of resistor 3D mesh is 5/6 ohm.
How about 1*2 3D Mesh?
Each branch resister is 1 ohm.
i=2: 1*1*1
i=3: 1*1*2
i=4: 1*1*3....
i=2: 2*2*1
i=3: 2*2*2
i=4: 2*2*3....
i=2: 3*3*1
i=3: 3*3*2
i=4: 3*3*3....
Diagonal resistance of resistor 3D mesh.4*4*4=
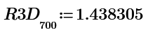
Diagonal resistance of resistor 3D mesh 20x20x20.
R3D(1000*1000*1000)=1.43886 ohm.
Infinity 2D mesh. RCD=4/π-1/2. This is Google puzzle.
How about Infinity 3D mesh. R(0,0,0)-(1,1,2)
in the infinity 3D mesh. The answer is
This is well known 1/3.
Diagonal resistance of resistor 3D mesh 1000x1000x1000. 1 h to solve the 1000^3 3D mesh.
Now Prime 6 can solve all 3D resistor mesh problems for both finite and infinity connections.
Diagonal resistance of resistor 3D mesh.
n=1 The resistance of resistor 3D mesh of (0,0,0) to (1,0,0) is 7/12 ohm.
n=2 Do you know the resistance of resistor 3D mesh of (0,0,0) to (2,0,0) ?
The answer of 2*2*2 (0,0,0)-(2,0,0) is 179/210. What is 3*3*3 (0,0,0)-(3,0,0)?
The answer is
.
Face center to center resistance of 11*11*11 mesh.
The answer.
The node potentials 3D view.
The 3D field view.
Mathcad is more powerful and faster than Maple. However, Maple with using compiler, it can calculate the 3D resistance mesh problem as follows.
