Community Tip - Have a PTC product question you need answered fast? Chances are someone has asked it before. Learn about the community search. X
I'm using MathCAD 9.0.0.0. Attached is my program. I need to find theta. Theta should equal 32.6 degrees. How can I get MathCAD to solve for theta?
Thanks,
Brent
Solved! Go to Solution.
As you probably know that the inverse of tan is arctan (in Prime atan) you could use is directly
If you insist that Prime should 'solve' the simple equation, you can use all the methods which I had shown you in the other thread of yours -> Re: Solve variable inside of trig equation?
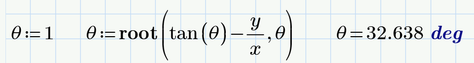
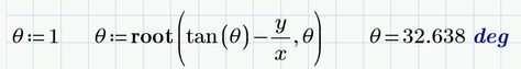
"root" with interval
"root" with guess value
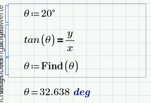
solve block with "find"
and - again not recommended - the symbolic "solve"
Prime 9 sheet attached
-------------------------
As you probably know that the inverse of tan is arctan (in Prime atan) you could use is directly
If you insist that Prime should 'solve' the simple equation, you can use all the methods which I had shown you in the other thread of yours -> Re: Solve variable inside of trig equation?
"root" with interval
"root" with guess value
solve block with "find"
and - again not recommended - the symbolic "solve"
Prime 9 sheet attached
