Community Tip - Have a PTC product question you need answered fast? Chances are someone has asked it before. Learn about the community search. X
Hi,
I am trying to solve a cubic equation, but I am unsure where I am going wrong. Please guide me. I manually calculated the values as follows:
x1= 1231.629mm, x2=121.978mm, x3=-153.60mm
The Mathcad file is attached : Mathcad Prime09
I tried two different method but not sure where I'm doing mistake
Solved! Go to Solution.
@Ravii wrote:
Will you share me the Files, I also tried this but got the error
Was done in P10 and already deleted.
Better send your failing file.
Your picture does not show which error message is thrown.
Maybe you have assigned variable x a value somewhere above. If thats the case Prime will refuse to solve for x and you would have to write clear(x) somewhere above the symbolic evaluation.
EDIT: Reopened your initial file in P9 and edited it
It includes the solution using a solve block (also with symbolic eval), using the root function and also the symbolic "solve".
All done with units.
See attached
Nonetheless it would be better if you send the failing sheet as this would enable us to help finding the reason for the erroryou experience and inform you so that you can avoid it in the future.
Hi,
In terms of the solve block you need first a guess value for x.
Cheers
Terry
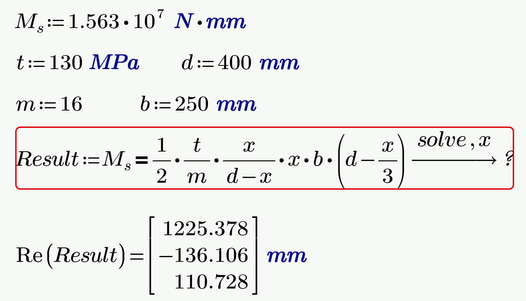
After adding the guessed value of x, the result I'm getting seems to be incorrect. Please correct me if I am making a mistake; the value should be as I mentioned above in the post.
Check your units. Presumably x is a length, which makes x/3 a length, but 1 is dimensionless, so (1 - x/3) doesn't compute!
If you remove all units, as in your second post, make sure they are consistent (e.g. t in MPa is not consistent with d in mm: MPa is 10^6N/m, whereas 400 mm is 0.4 m)
Alan
Hi Alan,
I checked but still the value is incorrect, I'm not sure that what I'm doing is correct way to solve the cubic equation, the output should be 3 x values.
The solve block will give you only ONE solution at a time, even if there are more. Try different guess values to find the other ones.
Or request a symbolic result.
Success!
Luc
Why don't you attach your worksheet and state, which version of Prime you are using!
It would help a lot lot to see what you actually are doing, if you have checked "Units(constants in symbolics" and to see what the error message is.
From the pictures no failure can be seen, apart from the missing guess value which Terry already pointed you to and apart from the wrong values in the unit-less version, which also was mentioned by Alan.
Keep in mind that a solve block never returns all three solutions, just one, depending on the guess value you provide.
BTW, you define a variable c which never is used. Thats not a failure per se, though.
Alan also pointed you to the unit mismatch in your formula and you did not show how you fixed this.
You defined d=400 mm,
I see the expression d-x in the denominator and this means that x must be a length, too.
But the last factor is 1-x/3 and because 1 is dimensionless, x must be dimensionless, too.
x can't be a length AND dimensionless at the same time.
One possible fix is (1 meter - x/3) but you have to decide if thats applicable and makes sense at all.
Thanks, now I have added the file
@Ravii wrote:
Thanks, now I have added the file
OK, but it stills seems that your equation is not correct (when used with units; see answer above).
I guess the unit-less value for M should be 15.625*10^3, not 10^6.
Otherwise you aren't doing anything wrong.
If the results are not what you expect, you sure have to check and correct your equation!!
The "root" function or a solve block with "find" will always just return one of the three possible solutions. Which one depends on the guess value you provide.
But in newer versions of Prime you may also evaluate a solve block symbolically (a guess would not be necessary) and this will give you all three solutions.
And of course you also could use the symbolic "solve"
Clearing x is necessary because "solve" won't solve for variables which are already defined,
You may also use units, but first you would have to correct the error in your formula. In the following picture i did it the bold way by replacing the "1" with "1 m" 😉
The red error stems from Prime refusing to display large results. The result gets that large because the symbolics does not know anything about units. It does not know that MPa=10^6 Pa or that MPa*mm^3=N*mm, etc. So it treats the various units as unknown variables and can't simplify the expressions.
But you can assign the result to a variable and evaluate this variable numerically.
As you can see we get tiny imaginary parts in some of the solutions which we can get rid by just using the real parts.
You should also check this option (recalc the sheet after doing so). Primes symbolics still can't deal with units but at least the labels for the units are chosen correctly (most of the times) so we can evaluate the result numerically without getting an error.
Maybe the last factor should read (d-x/3) instead of (1-x/3)?
The solutions still are not the exact values you expect but at least in the same magnitude:
Will you share me the Files, I also tried this but got the error
@Ravii wrote:
Will you share me the Files, I also tried this but got the error
Was done in P10 and already deleted.
Better send your failing file.
Your picture does not show which error message is thrown.
Maybe you have assigned variable x a value somewhere above. If thats the case Prime will refuse to solve for x and you would have to write clear(x) somewhere above the symbolic evaluation.
EDIT: Reopened your initial file in P9 and edited it
It includes the solution using a solve block (also with symbolic eval), using the root function and also the symbolic "solve".
All done with units.
See attached
Nonetheless it would be better if you send the failing sheet as this would enable us to help finding the reason for the erroryou experience and inform you so that you can avoid it in the future.
Thank you for your help; the solution was really helpful. I found the mistake I was making.
Hi Werner,
I have a question. When I try to copy the calculation method you used into my sheet, it shows an error message (see attached image). However, when I copy the same thing into a new sheet, it works. Do you know why it is showing an error?
Also I calculated the value of x manually (Image in right), not sure why the output of Mathcad is different
The calculation file is attached.
Probably because it is undefined. Read the error message: Check the label.
You want to make sure that every xv in your expressions has the same label.
Incidentally. If you really want the three solutions to you problem, you can (should?) do as follows:
This results in a big expression, which Prime probably cannot show, but here is:
Never the less, you should be able to define your knowns:
and calculate the numerical results:
Success!
Luc
I tried the same approach, but it didn't solve the problem. I'm not sure where I'm going wrong.
Move the definitions of M, b,d,m and t BELOW the x(...):=....solve,x expression.
If you then get the same 'result', Prime has proven itself incapable (once more).
{You may want to check for certainty by trying to solve
}
Success!
Luc
Same issue 😞
Its better to solve it manually. I thought it will be easier if it done in Mathcad.
@Ravii wrote:
Hi Werner,
I have a question. When I try to copy the calculation method you used into my sheet, it shows an error message (see attached image). However, when I copy the same thing into a new sheet, it works. Do you know why it is showing an error?
You can see in the picture that in the result of the symbolic evaluation, the unit Pa is not labelled as unit (its typeface is not bold blue).
You have to turn on the option "Units/Constants in Symbolics" in the 'Calculation Options' (Ribbon 'Calculation', 'Worksheet Settings').
After you have checked this option, you must recalculate the worksheet (F9 or F5).
See the picture at the end of this reply: Solved: Re: Solving the Cubic equation - PTC Community
Hi,
just question: why do you use 2 different b values in your original Cubic Equation.mcdx file ?
page no.1 ... b:=0.250
page no.2 ... b:=250
If you set the same value on both sheets then you will get the same results.
Question: Does it matter that the function is not continuous at the point 0.4 ?
@MartinHanak wrote:
Hi,
just question: why do you use 2 different b values in your original Cubic Equation.mcdx file ?
page no.1 ... b:=0.250
page no.2 ... b:=250
It obviously was an attempt to try a solution without units. It was b:=250mm
The first simply removed the units (b:=250) and the second correctly considered the base unit meter (b:=0.250).
