Community Tip - Visit the PTCooler (the community lounge) to get to know your fellow community members and check out some of Dale's Friday Humor posts! X
Hello,
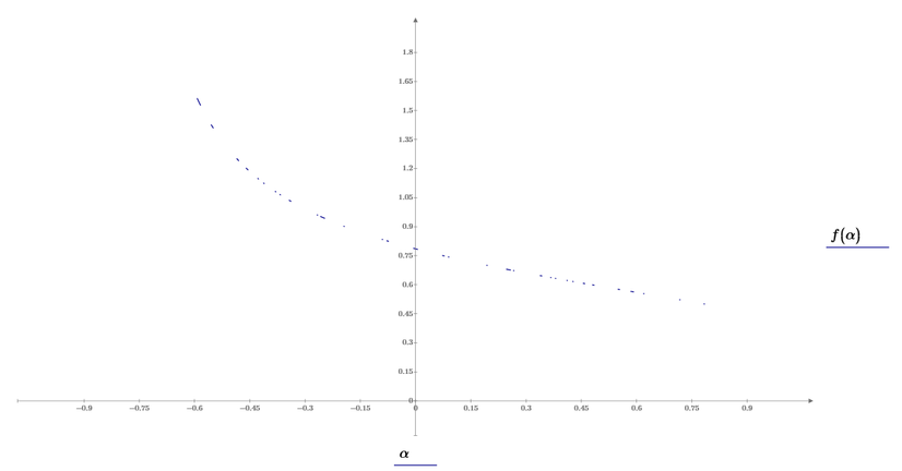
I plotted this function and the graph looks something "strange", at least at first glance. Normally it should have shown a continuous line, or?
MC8 Prime.
Solved! Go to Solution.
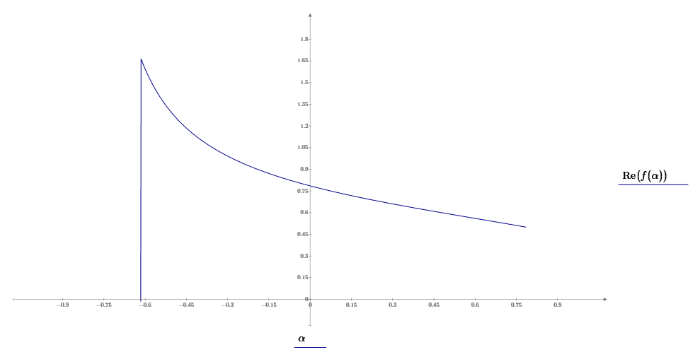
You function f() returns non-real numbers with a tiny imaginary part for a lot of input values. Maybe due to numerical inaccuracies/round offs. Primes plot refuses to plot anything in this case, hence the empty spots.
ttokoro showed that using just the real part of the result for plotting might be a solution to the problem.
You may also consider using the Re() function already in the definition of f().
You function f() returns non-real numbers with a tiny imaginary part for a lot of input values. Maybe due to numerical inaccuracies/round offs. Primes plot refuses to plot anything in this case, hence the empty spots.
ttokoro showed that using just the real part of the result for plotting might be a solution to the problem.
You may also consider using the Re() function already in the definition of f().
