Community Tip - Did you get called away in the middle of writing a post? Don't worry you can find your unfinished post later in the Drafts section of your profile page. X
Hi there,
I am trying to fetch the required gross concrete cross sectional area of an RCC column using the SYMBOLIC Solver function as shown below. But I could not figure out what is causing this abnormal output. Could someone kindly clarify this issue? I would be much obliged.
Solved! Go to Solution.
1st: You should state that you are using Prime 10, to prevent that you get an answer with a Prime 11 file attached that you cannot open.
Then:
There's nothing abnormal about this output, when you consider that the symbolic machine of Prime doesn't know about units, and always tries to provide an exact answer (hence the number of digits). There is a setting to make it a little more aware of units (under Calculation => Calculation options choose "Units/constants in symbolics", but that does not always help.
My tip: use symbolic features ONLY for symbolics so without any floating point numbers, units etc. So you could have defined the result as a function of the other variables:
Note that I changed the 0.85 to 85/100. After that you can use that function to (numerically) calculate the result:
(my Prime 10 Express doesn't do symbolics, in your full prime the above should work without errors)
Since you are looking for a numerical answer anyway, you had better use the root() function for this simple problem. Look it up in the help. Apart from being fully aware of units, it also displays the result with a reasonable resolution.
A word of caution for your definitions of phi and ecentricity.factor: using an if statement in a function normally should ALWAYS be able to provide an output. For your definitions that is not the case: What if Column.type=0, or 3? You could add an: "else NaN" to the end of both to catch that situation.
Success!
Luc
1st: You should state that you are using Prime 10, to prevent that you get an answer with a Prime 11 file attached that you cannot open.
Then:
There's nothing abnormal about this output, when you consider that the symbolic machine of Prime doesn't know about units, and always tries to provide an exact answer (hence the number of digits). There is a setting to make it a little more aware of units (under Calculation => Calculation options choose "Units/constants in symbolics", but that does not always help.
My tip: use symbolic features ONLY for symbolics so without any floating point numbers, units etc. So you could have defined the result as a function of the other variables:
Note that I changed the 0.85 to 85/100. After that you can use that function to (numerically) calculate the result:
(my Prime 10 Express doesn't do symbolics, in your full prime the above should work without errors)
Since you are looking for a numerical answer anyway, you had better use the root() function for this simple problem. Look it up in the help. Apart from being fully aware of units, it also displays the result with a reasonable resolution.
A word of caution for your definitions of phi and ecentricity.factor: using an if statement in a function normally should ALWAYS be able to provide an output. For your definitions that is not the case: What if Column.type=0, or 3? You could add an: "else NaN" to the end of both to catch that situation.
Success!
Luc
After using the Units/constants in symbolics under 'Calculation options', the last unit appeared as shown here though it was supposed to show in only Area unit (sq.m. ,sq.in., etc.). This is where I am stuck, what could be the solution to this particular confusion?
As Luc already has written is the symbolics completely unit-unaware. It treats units as unknown variables and uses the units which are used when the variables are defined.
Checking that calculation option does not help. The symbolics still don't know anything about the relationship between the different units, which is why it can't combine kip/ksi into in^2. The only thing this option does is ensure that units and constants retain their “label” during symbolic calculation. As you could see, in your original result, a “ksi” in the denominator was not bold and blue. This means that this ‘ksi’ was no longer labeled as a “Unit” and therefore could not be combined with the 0.545... ksi.
I actually don't understand why this setting exists as a calculation option at all - IMHO it should be enabled by default. I see not benefit of not doing so.
With enabled option the advantage now is that although the symbolics still does not show you the desired result in in^2, you can now evaluate the variable A.g numerically (the numerical engine is great at handling units):
If you really are in need of seeing the symbolic result you could use the modifier "explicit" and follow inline with a numeric evaluation:
As Luc already said, symbolic calculations should only be used if you really need a symbolic result - for example before the numerical definition of the variables used.
However, this does not seem to apply in your case - you ar just looking for a numeric result.
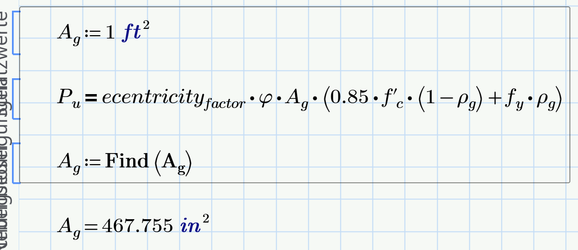
So if you only want a numerical value, you should consider using a numerical solution method. Prime offers the solve block with “Find” for this purpose, as well as the “root” function, which can be used in two different ways.
Here is one way to use the “root” function by providing an interval (here 0 in^2 to 20 ft^2)
And here the "root" function by providing a guess value first:
And here a solve block with "find"
A solve block does not seem to be the first choice here, but it has advantages if you want to add additional conditions or solve a system with multiple equations and unknowns.
Prime 10 worksheet attached
