Community Tip - When posting, your subject should be specific and summarize your question. Here are some additional tips on asking a great question. X
I am a user of (real) Mathcad for a long time and now shifted to Mathcad Prime 7.0 and have started learning it. I am facing a problem in using symbolic evaluation in solve blocks using Mathcad Prime. It was a bit easy in (real) Mathcad but now I don't know what's the problem and why prime is not showing the answer.
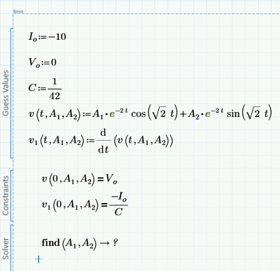
The problem statement in (real) Mathcad is
But when I use the same steps to solve the problem in Mathcad Prime it is showing a question mark with no hint of where the problem occurs.
Please guide me, what am I missing or it is some incapability of prime that (real) Mathcad has for years.
Solved! Go to Solution.
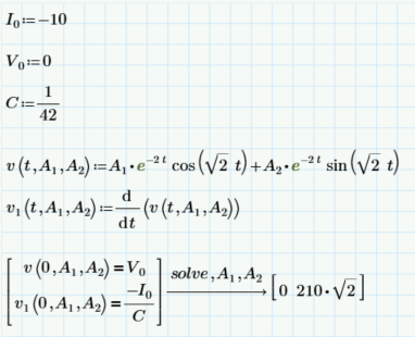
You are missing the fact that, in contrast to real Mathcad, Prime does NOT support solving solve block symbolically.
You should set up your solve by solving the set of simultaneous equations symbolically. Create a vector containing the two expressions, and solve that symbolically.
Something like:
Success!
Luc
You are missing the fact that, in contrast to real Mathcad, Prime does NOT support solving solve block symbolically.
You should set up your solve by solving the set of simultaneous equations symbolically. Create a vector containing the two expressions, and solve that symbolically.
Something like:
Success!
Luc
Thanks, @LucMeekes for the answer. I was not expecting that Prime does not support this important feature. Will you please show how will I be able to put the boundary conditions when I create a vector containing the two expressions.
You should expect much more missing, if you were using Mathcad to its full extent. Note that with Prime 7 you are faced with a new symbolic engine, different from the one you used to have in Mathcad 15. So the results may differ, sometimes significantly.
I find there are only two features where Prime outperforms Mathcad:
- Autolabelling (which I like for autolabelling units), but this feature has its drawbacks that you need to be aware of. The best you can do is make sure that different (clearly distinguishable) fonts are used with the labels. That way you can easily see if identifiers are the same, or different. The most frequent problem is when Prime has autolabelled one identifier as a 'variable' and another occurence of the same name as an 'automatic'.
- Multiple dimensions in vectors and matrices.
Success!
Luc
Symbolic evaluation in solve blocks is not supported in Mathcad Prime, but you can do the following to get the same result.
May I ask an unrelated question? You did not use literal subscripts in Mathcad 15, but used them in Prime document. Why? Any specific reason?
No @MSheykman there is no specific reason. I was doing the problem in Mathcad prime, and when I was not able to figure out why the answer was not showing, quickly developed a (real) Mathcad sheet to know what am I missing. It was developed in a hurry and that's the only reason for not using literal subscripts.
