Community Tip - Have a PTC product question you need answered fast? Chances are someone has asked it before. Learn about the community search. X
Dear PTC Mathcad Community,
I want to ask for clarification on the behaviour of units and symbolic substitution in Mathcad Prime (similar topics have already been raised, but I still haven't found an appropriate answer for my issue).
So I try to find a symbolic expression for epsilon_c2, which is a parameter of the equation N.
Solver succeeded with the issue, but with incompatible units (see picture)
So, I have tried to find out the solution in the community, but the advice of @Werner_E with calculation options didn't resolve the issue (see the picture)
So my issues are:
1. How to make the symbolic solving more "seamless" with appropriate units' manipulation in the solutions?
2. Why does Mathcad not see the assigned values of the epsilon_c2 obtained in the previous solution?
After some time, when the file has been refreshed, some magic happened, and now I can use the roots of epsilon c1 and c2 in a "normal" manner.
But the next issue is that it doesn't let me substitute the obtained symbolic solution into the following step calculation for the moment M calculation.
As it can be seen, the factual equation is real, with proper units,
Nevertheless, Mathcad is still not satisfied with...
I am still convinced of Mathcad's power, but each time I get stuck with such a misunderstanding of Mathcad logic, I feel broken, exhausted and unable to continue to the next step - automation of my manual solution.
Any clarification, examples, or references to documentation would be greatly appreciated.
I am trying to align my workflow with my Mathcad Prime 10.0.0.0 internal logic rather than fight against it.
Thank you very much for your time and support.
The file with the manual calculation of M is attached.
Solved! Go to Solution.
The best way of using the symbolic solver is to use it with symbols only. That is:
- Do NOT use units.
- Do NOT use floating point numbers ( integers are OK, instead of 0.5 use 1/2, instead of 1.414... use √2 ).
It means that any variables you use in the symbolics are not assigned a (numeric) value.
To obtain numerical results, you best assign the result of the symbolics to a function of all required variables and call that function with the numeric values, including their units.
So instead of:
do:
Oh, and in case you are not interested in the symbolic solution, and you just want a numeric solution, then use a numeric solver (solve block, root() function or other suitable numeric function) instead of a symbolic one.
Success!
Luc
The best way of using the symbolic solver is to use it with symbols only. That is:
- Do NOT use units.
- Do NOT use floating point numbers ( integers are OK, instead of 0.5 use 1/2, instead of 1.414... use √2 ).
It means that any variables you use in the symbolics are not assigned a (numeric) value.
To obtain numerical results, you best assign the result of the symbolics to a function of all required variables and call that function with the numeric values, including their units.
So instead of:
do:
Oh, and in case you are not interested in the symbolic solution, and you just want a numeric solution, then use a numeric solver (solve block, root() function or other suitable numeric function) instead of a symbolic one.
Success!
Luc
Hi Ivan,
You have set out to produce a reinforced concrete section moment-curvature diagram.
Want to help you but things vary from country to country.
Going back to your last post you have the polynomial coefficients for the shape of the concrete stress-strain block.
Can you show me a plot of the stress-strain block using these polynomial coefficients and values of relevant strain points as this is one of the things that vary between countries.
The problem can be solved without symbolics but using parametrized solve blocks, and root functions.
Can you describe what the symbol gamma, and squiggly N are in equations 4.2.4? Draw a diagram.
Look forward to hearing back.
Cheers
Terry
Hi Terry!
Glad to see the community members are interested in resolving my issue.
@terryhendicott wrote:Hi Ivan,
You have set out to produce a reinforced concrete section moment-curvature diagram.
Want to help you but things vary from country to country.
Going back to your last post you have the polynomial coefficients for the shape of the concrete stress-strain block.
Can you show me a plot of the stress-strain block using these polynomial coefficients and values of relevant strain points as this is one of the things that vary between countries.
As you correctly mentioned, the moment-curvature "comprehensive" diagram could be represented by different equations:
1. Here, in our Code (Ukraine) two possible ways are possible (formula (3.4) or (3.5):
Where ak- polynomial coefficients (5), for each grade of concrete, is taken from Appendix D
The difference between the curves, realised by our Code and the formula, which is used in Europe, may be in the USA, if I'm not mistaken, is not significant. To prove this, I compared the two curves in Excel.
As you can see, both dependencies are pretty similar and close to each other.
...
The problem can be solved without symbolics but using parametrized solve blocks, and root functions.
I'd like to hear from you a simple example of how the ROOT function can be implemented here.
Thanks a lot for your interest in my topic.
Hi Ivan,
The stress strain curve is intrinsic to the calculation of the moment-curvature do you think you can give me the Excel sheet behind your graph so I fully understand both methods.
Cheers
Terry
Hi Terry,
The abovementioned graph shows only the concrete behaviour.
I guess it will be pretty helpful. Orange cells have a pop-up menu for convenience. Yellow cells are connected to formulae and shouldn't be changed.
@terryhendicott wrote:Hi Ivan,
You have set out to produce a reinforced concrete section moment-curvature diagram.
Want to help you but things vary from country to country.
...
The problem can be solved without symbolics but using parametrized solve blocks, and root functions.
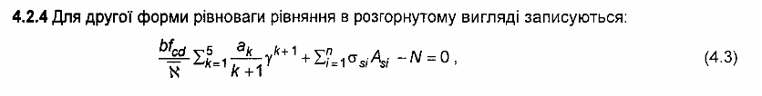
Can you describe what the symbol gamma, and squiggly N are in equations 4.2.4? Draw a diagram.
Look forward to hearing back.
Cheers
Terry
Hi Terry!
The squiggly N is the Hebrew character Alef.
Alef (א) in equation (4.3) is the curvature of the beam and is equal to א = (ec1-ec2)/h
Gamma (γ) is the (ec1/ec1_cd) which does not contain ec2.
Can you make a sample of your own on how to use parametrised solve blocks and root functions?
Looking forward to hearing from you.
@LucMeekes Thank you a lot, Luc. I'll consider it.
By the way, I got the result in my file.
The script works as it should.
Ready for the routine programming.
Hi Luc,
Maybe you can assist with my next question:
I guess that it is impossible for Mathcad, but I still ask:
Whether I want to obtain a symbolic result with a condition that contains the desired variable, can this be realised somehow in Prime?
It is crucial because if my symbolically derived value of epsilon_c2 leads the highlighted equation to a value greater than f_yd, it must be readjusted. ( I hope the SOLVE block will give me the chance to eliminate iterations with WHILE and FOR loops...😒
Sorry for annoying you. Knowing that I almost got to the point of resolving the issue, but embedding my condition in compliance with Mathcad syntax is hardcore...It really makes me crazy.
Maybe there are more tricky methods to get the correct value of epsilon_c2 that satisfies the condition???
Prime 10.0.0.0 file is attached.
The symbolic tries to evaluate the expression symbolically which means without knowing concrete values. Therefore branches and other conditions can't be evaluated.
The second argument ec2 in your function N() makes no sense as ec2 is the variable you are solving for.
Instead of your if..else.. you could use the "min" function, but this will not help with the symbolics.
I have not followed the complete thread and I have no expertise whatsoever in your field of work, but I wonder why you would use the symbolic solve.
You could use the root function. Your function N() seems to have a pole at ec2=ec1 (N-> inf) so I assume that you are looking for an ec2 > ec1.
One way to use the root function without a guess value would be that way:
Given your value of ec1 we get
I don't know what you intend to do with a function which returns ec2 depending on ec1 and I am not sure which values of ec1 you intend to feed into this function. I noticed that my attempt fails for values of ec1 larger than approx. 0.006393.
I have not investigated further, why, but it looks to me that there simply is no solution for larger value of ec1.
Prime 10 sheet attached
@Werner_E Hi Werner,
Thanks for your attempt to help, first of all.
The issue I've been messing with for the last week concerns non-linear concrete behaviour, which can be described with a "full state diagram": Moment-curvature.
The point here is that there are two equations (N and M), so the ec2 is the strain, which can be iteratively assigned to the equations to obtain the equilibrium. The value of ec2 is the input data for the following equation (M), which calculates the bending moment.
This is the brief explanation. I'm not sure it added anything to your understanding. Still, the bottom line is that I used symbolic to eliminate the FOR and WHILE loop calculations, which are pretty tricky to create correctly in MathCAD.
I wanted to solve symbolically for the roots where the function N(ec1, ec2) equals zero. Then, by checking the conditions, to calculate the bending moment M and so on for ec1=01.,..1*ecu1,cd. by eliminating the WHILE and FOR loops.
I still know little about how to make the iteration correctly.
Actually, I want to analyse my data with smth like this, where ec1 is predefined, as you see, and ec2 is calculated, which influences both sigma_s1, sigma_s2, and sigma_s3, as well as the curvature (ALEF) and moment M.
Finally, there were some mistakes in my formulae that I fixed, but I'm still stuck.
Prime 10 attached.
I have no experience whatsoever in your field of work and can't comment on concrete behaviour, moment curvature, etc. but I don't see a system of two equations in your extensive explanations so far.
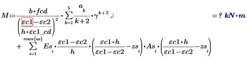
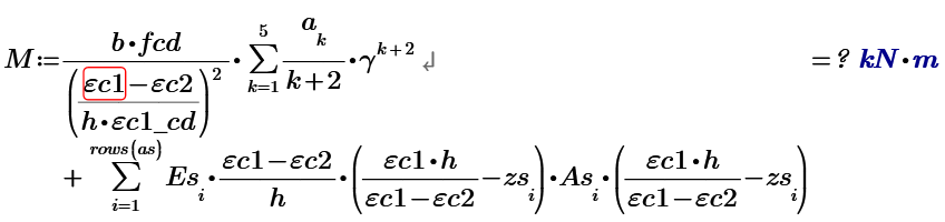
What I had seen so far are the assignments of functions N and M (it seems to should be a function) and it looks like both should be dependent on ec1 and ec2:
and
The definition of M seems to be erroneous (unit mismatch).
Now you have the equation
but i don't see the second equation, which may
Once you actually have two equations you could try to solve them symbolically for ec1 and ec2 (not sure if Prime is capable enough to do so) or you could use a solve block to do so. In case there are more solutions, a solve block would only give you one of them. Which one you will get depends on the guess values you provide.
@Werner_E Hi Werner!
Thank you for your interest in the problem and for your help with the issue.
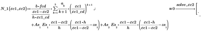
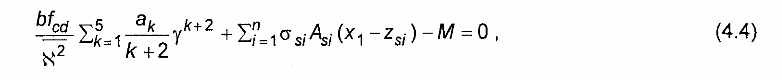
You figured out the mistake in the units of the M equation. The proper equation for N (4.3) and M (4.4) should be as follows:
In general we'll have such an M(ec1, ec2) equation:
As you correctly noticed, two functions should be treated simultaneously, one after the other, in the following way:
@Werner_E wrote:I have no experience whatsoever in your field of work and can't comment on concrete behaviour, moment curvature, etc. but I don't see a system of two equations in your extensive explanations so far.
What I had seen so far are the assignments of functions N and M (it seems to should be a function) and it looks like both should be dependent on ec1 and ec2:
1. On the first step, we start to solve the governing equation, where N=0 by substitution on the first step the ec1=0.1*ecu1,cd (where ecu1,cd - ultimate strain value of each grade of concrete, is known) and ec2=0.02*ec1,cd, by controlling the stress value in reinforcement σs (that should not be greater, than fyd - limit design stress of the reinforcement).
If the ec2 of governing equation is bigger than that, which leads to stress fydi in the reinforcement Asi, we assume that root (ec2) of the equilibrium equation (4.3) as the solution and reassign it to the equilibrium equation 4.4 for moment (M):
The obtained value for the moment will be the first point of the state diagram "Moment-curvature".
The cycle will continue until we reach ec1=ecu1cd.
It looks to me that you confuse 'equation' with the definition of functions or variables.
This
is an equation, but this
is just the definition/assignment of a variable, not a second equation.
When I look at the equations 4.3 and 4.4 I miss the variables ec1 and ec2 which you concentrate on.
It looks to me that these variables are hidden in א and also in gamma?
So if the goal should be M=0 then we would have two equations which we could easily solve for ec1 and ec2.
Otherwise I won't know what the calculation should be as your description still is too technical for me. Maybe someone with experience in your field of work can help.
@Werner_E Yes, you are right. I messed up the definition of the equation and the assignment here. As well, you are also right in the assumption that moment M in Equation (4.4) is the function of ec1 and ec2, where ec2 is a calculable argument from Equation (4.3) and ec1 is the iterable of ecu1_cd (known limit strain of concrete grade, which we put in the Equation (4.3) for the fitrst time ec1=0.1*ecu_1cd, for the second ec1= 0.2*ecu1_cd, and so on until ec1=ecu1_cd.
On each iteration of ec1, the ec2 is to be found. From Equation (4.3) under condition (fyd) and substituted afterwards into Equation (4.4) to find the i-th moment M value of the state diagram "Moment-curvature".
The moment is to be calculated after the ec2 led to zero in equation (4.3)
You are partially correct in:
@Werner_E wrote:When I look at the equations 4.3 and 4.4 I miss the variables ec1 and ec2 which you concentrate on.
It looks to me that these variables are hidden in א and also in gamma?
Alef (א) in equation (4.3) is the curvature of the beam and is equal to א = (ec1-ec2)/h
Gamma (γ) is the (ec1/ec1_cd) which does not contain ec2.
The goal is to find ec2 from Equation (4.3) under the condition of fyd and to substitute it into Equation (4.4) where the moment M is to be calculated.
Equation (4.3) with double layers of reinforcement (As1 and As2) will be as follows.
We have to solve it with respect to ec2, subject to the condition:
Where fydi= yield strength of i=th reinforcement layer. If ec2 found in Equation (4.3) exceeds the ec2 that led to the left side of the expression to be bigger than fyd, then we need to use that value to substitute into Equation (4.4) to find the factual moment M according to
And so on until we finish the iteration cycle with ec1 = ecu1_cd.
I had already shown how to calculate ec2 for every ec1 using the "root" function and assuming that ec2 >= ec1.
I was not aware of additional constraints which you call fyd.
So there are three additional constraints that some expressions must be smaller than fyd]1,2,3 ?
You would have to use a solve block instead of the "root" function to be able to add additional constraints.
Are you sure that there is a solution for ec2 for every ec1 given that three additional constraints? As far as I had seen in the sheet I posted, the solution was unique even without any additional constraints...
Or are you trying to increase ec1 until you find a solution which fulfills all three constraints?
As I understand it, M has nothing to do with finding appropriate values for ec1 and ec2.
You may consider posting your sheet containing the corrected definition of M and also the constraints you were talking about.
@Werner_E @terryhendicott @LucMeekes
💪Almost excellent! I got the follows:
The two questions to experts arose:
1. How to modify the graph with ec1_0=0, in other words, how can I do the plot starting from the beginning of the coordinates?
2. By having the data in matrices like
How can I obtain a more "seamless" view of the matrix like
I'll be very grateful for any assistance in this regard!
Prime 10.0.0.0 is attached.
With ec1=0 your calculations will result in a division by zero.
So what should be the values for all the variables in your table when ec1=0 ?
You will to have to add them atop (using stack) manually after calculating all the other values or you consider the case ec1=0 via if-statements in your program to avoid the division by zero. In the latter case you could use
at the start of your program, but with the calculations given you would end up with a division by zero error.
Otherwise see my comments and modifications highlighted in red in the attached Prime 10 sheet.
It looks like you could replace
with
or at least you could use
if sigma is not negative in all cases.
I also noticed that Es and fyd are 2x1 vectors with both values identical and you are just using the element with index 1. Any reason for defining these variables as vectors? Similar with As, where you also use just the first entry.
Thanks for the useful tips, Werner!
@Werner_E wrote:I also noticed that Es and fyd are 2x1 vectors with both values identical and you are just using the element with index 1. Any reason for defining these variables as vectors? Similar with As, where you also use just the first entry.
I did it to enable future updates with more than two layers of reinforcement. The logic was to add the specific values to the matrices rather than reformulate all the data from scratch.
Hi Ivan,
Promised a solution using the root() function. Have used combo box entry so it is possible to select concrete and steel materials. Thanks for the spreadsheet that enabled this. Have used the DBN stress block but could easily add the Eurocode one.
Only done the last point on the moment curvature graph with max concrete strain at top of section and full yield in bottom steel.
Wanted to show you how far I've got till now. Will work on this some more as time permits. Will add more layers of steel, and full moment-curvature plot.
Using Prime v9 as not sure which version you are using?
Cheers
Terry
Hi Ivan,
Have added the calculations for the graph. Close enough for me.
Results are in vectors, These can be augmented as you choose for tables of results.
Cheers
Terry
Some people prefer vectorized equations rather than indexed equations.
So it is possible to substitute the following:
Cheers
Terry
Say I'm shocked - is to say nothing, how deep your knowledge is and how successfully you're tricking with the power of Prime!!! 🙏🙏🙏.
I'm trying to verify the script you supplied (DBN v3 above), Terry.
As far as I understand, you omit the beam height value (h in my case). Instead, you use the design depth value d=h-as here, where as - protective cover of the beam (see picture).
Am I correct?
If so, I checked the data with your script's input parameter
and the information obtained from the site MQN.com:
As you can see, there is a difference of 415-385=30 kN*m.
I guess the reason for the misunderstanding is your d-value.
As well as
The total bending moment is the lesser of the two values:
1. In case of brittle rupture, (where the equivalent of compressed concrete Fc=
is less than the equivalent of reinforcement Fs= As*sigma_s (case of over-reinforced section) It means that
M=*lever arm(in your case, of assigning it will be d-Centriod).
2. In case of rational reinforcement (ductile rupture), the moment of tensile reinforcement equilibrates the compressed concrete and compressed reinforcement, e.i M=
and the second member is mistaken here...
And also, I didn't catch the point of why you assume epsilon ecu_1cd/2.
In the limit state, the compressed strain gains to the ecu_1cd...
@terryhendicott Hi Terry!
I tried to implement your cool combo into the other file with the respective storage of the txt files, but MathCAD doesn't see them...
The trick with capitalising the letters also didn't work.
@terryhendicott Thank you very much for your comprehensive calculus and attempt to solve an issue.
As far as I got, we can add here "countless" layers of reinforcement for the complex sections' calculations.
I also paid attention to the fact that here in the v3 version reinforcement grade, e.g. A400C is assigned for both stressed As' and tensiled As reinforcement, isn't it?
Thank you, Terry, for your patience and efforts in solving the issue I've been messing with for the last week 😫.
I'm shocked at how far you've advanced with the calculus. I appreciate such aid very much.
Now it will take me at least a week to understand all the calculus and logic you've embedded in the issue🤣🤣.
I highly appreciate your desire to explain how things work, Terry, but right now, I have no such programming skills, in general and in Prime 10.0.0.0 in particular🙏🙏🙏.
Could I kindly ask for a short WhatsApp call for the Question-and-Answer session (if it's up to you and possible in your timetable)?
