Community Tip - You can Bookmark boards, posts or articles that you'd like to access again easily! X
Dear PTC Mathcad Community,
I want to ask for clarification on the behaviour of units and symbolic substitution in Mathcad Prime (similar topics have already been raised, but I still haven't found an appropriate answer for my issue).
So I try to find a symbolic expression for epsilon_c2, which is a parameter of the equation N.
Solver succeeded with the issue, but with incompatible units (see picture)
So, I have tried to find out the solution in the community, but the advice of @Werner_E with calculation options didn't resolve the issue (see the picture)
So my issues are:
1. How to make the symbolic solving more "seamless" with appropriate units' manipulation in the solutions?
2. Why does Mathcad not see the assigned values of the epsilon_c2 obtained in the previous solution?
After some time, when the file has been refreshed, some magic happened, and now I can use the roots of epsilon c1 and c2 in a "normal" manner.
But the next issue is that it doesn't let me substitute the obtained symbolic solution into the following step calculation for the moment M calculation.
As it can be seen, the factual equation is real, with proper units,
Nevertheless, Mathcad is still not satisfied with...
I am still convinced of Mathcad's power, but each time I get stuck with such a misunderstanding of Mathcad logic, I feel broken, exhausted and unable to continue to the next step - automation of my manual solution.
Any clarification, examples, or references to documentation would be greatly appreciated.
I am trying to align my workflow with my Mathcad Prime 10.0.0.0 internal logic rather than fight against it.
Thank you very much for your time and support.
The file with the manual calculation of M is attached.
Solved! Go to Solution.
Hi Ivan
Version 4 of the file. Have found a couple of issues on checking my work. First to answer your questions.
"h" is not used in my worksheet. d is indeed h-as. the depth from top compression fiber to bottom steel layer.
The curvature is derived from e/kd not (ec1-ec2)/h. It is the same result.
Calculations for ecu1_cd/2 are an example only, I used as a check. they could be taken out and the sheet would still work.
The steel grade chosen like A400C is applied to both layers of steel. In practice it would not be a good idea to mix grades as errors on site of misplacing grades in wrong positions could occur.
I have found some errors in my sheet upon checking. That is why version 4.
Used the wrong column of DBN for fcd. This is corrected.
Used fyk and Es to set the max yield strain, then wound back the resulting stress by gamma s.
This means the steel stress strain diagram is altered.
Changes in yellow.
Results in very close answers to MQN.com. 383 to 385.
For some reason not getting the same stress values for the reinforcement?
Have corrected the stress calculations with s1 being the top reinforcement and s2 being the bottom reinforcement as per MQN.com.
Will continue to look for errors.
Do not be put of by the numeric integral calculus it gets the same result for compressive force in concrete as equation 4.3 is the mathematical equivalent:
Using the calculus it is easy to swap to Eurocode stress block.
I do not understand the second integration of compressive block in equation 4.4? If you take moments about the centroid of compressive force you eliminate that force from the moment calculation. What is X1 in equation 4.4?
I am checking for more errors as time permits so be prepared for version 5.
Not sure why your system does not find the text files. Try using the full path in Prime READFILE statements.
Cheers
Terry
@terryhendicott I am really impressed by your level of understanding and MathCAD mastery, Terry.
It'll help me a lot.
Trying to digest the material...
Regarding your question about X1
X1=ec1/א, where the א - curvature =1/h*(ec1-ec2)
I still can't get from the formula why do you put plus after the first member As*fs*(d-kd)...
The "+" sign depends on the distance d' from the most compressed part of the beam and comparison with kd. Whether the d ' is bigger than kd - the reinforcement is situated in the tensile zone, and the total moment will be equal to the lever arm (d-Centroid) produced by the sum of the reinforcement, which is in the tensile zone.
Hi Ivan,
Version 5 which can accommodate multiple layers of reinforcement defined in vectors "vAs" and "vd".
To do this have made some changes,
a) Reinforcement stress strain diagram accepts positive and negative strains.
The calculation of "kd" has been changed to read the reinforcement layers
The calculation of the moment has been changed to read the reinforcement layers.
You had questions about the signs of tension (-) and compression (+) and moment (+ anticlockwise around concrete stress block centroid).
How this sign convention works is in the enclosed graphic.
Cheers
Terry
@terryhendicott Hi Terry!
The effort you've put in is much appreciated and has been very helpful in solving my issue.
Thanks to your enclosed graphic, it is now much easier for me to investigate your assignments to characters in the code. Thank you so much for the time and goodwill you've spent on the problem solution.🙏
@Thank you for the clarification and the script modification, Werner.
I modified your script a little to include ORIGIN :0 in the hope that it'll give me zero values on the first iteration step, like here.
by providing a conditional statement and counting a coefficient from zero to four:
But somehow MathCAD do see the error still:
(((
Prime 10.0.0.0 is attached.
Can you explain why MathCAD sees it as an error?
As well as a few questions in the script, highlighted in colour.
i <- 0 is a local assignment!
In a conditional you have to use the comparison equal (Boolean equal)
See modifications in attached sheet.
If you just wanted all values to be zero in front it would have been easier to work from the previous sheet and simple add the zero values on top 😉
According your comments in the sheet - I don't see what you seemed to have seen. I only see errors because ec2 is not defined, etc.
You changed ORIGIN from 1 to it default value 0.
When you had a sum running from 1 to rows(...) it will not work that way, because vector indexing start with 0 now.
You are better of letting the sum run from ORIGIN to last(...). That way you are independent from the setting of ORIGIN.
@Werner_E Thank you for correcting the code, Werner.😁
Now, I really have the perspective to move forward to upgrade the code ))🙏
To make clear what I meant with my remark
"If you just wanted all values to be zero in front it would have been easier to work from the previous sheet and simple add the zero values on top"
You simply have to replace the bottom line of the program
with
to get
and
ORIGIN was not changed, its still 1..
I also noticed that the variables sigma_s1_2 and also x1 which you calculate are never used !?? So these calculations
and
could be deleted.
@Werner_E Yes, it will be more considerable!))
Thanks for your desire to help, Werner!!!
I played around a little bit and turned the calculations into individual functions rather than just working with vectors.
I had hoped that the maximum Moment value could be calculated with more precision using the derivative. Unfortunately Prime chokes on that - probably because of the if-statements and the resulting discontinuities in the derivative.
Nonetheless it may be useful. I also made all calculations ORIGIN-independent.
Prime 10 sheet attached
@Werner_E Thank you very much, Werner!
I have been pleasantly amazed with your analysis being performed.
@Werner_E wrote:I played around a little bit and turned the calculations into individual functions rather than just working with vectors.
I had hoped that the maximum Moment value could be calculated with more precision using the derivative. Unfortunately Prime chokes on that - probably because of the if-statements and the resulting discontinuities in the derivative.
Yeah, I still have some hopes, regarding the Mathcad Symbolic engine. But in my case, the three reinforcement layers provide no symbolic solution.
@Werner_E Thank you for your patience and desire to assist with my issue, Werner!
I still can't catch where the term "alef" is assigned from?? I have found no such assignment in the code, but I understand it is assigned elsewhere... Why is it important? Because I need to analyse the dependence (Moment Curvature = alef). And the point that alef is not the Curvature in terms of values.
Prime 10.0.0.0 file attached.
"alef" is on of the return values of your large iteration program. Its the last of the six returned results
And the values in "alef" correspond to the vector of values which you called "alef_dash" in your program.
As I have no experience whatsoever in your field of work I can't say if or why it may be important or what the meaning of those values would be. Its one of the vectors of values you calculated in your program, so I returned it so you can examine them in the sheet. If they have no importance, simply remove this return value.
Note that a program in Prime cannot alter variables defined in the worksheet nor can your worksheet look at the variables calculated in a program. If you need values which were calculated in the program you have to explicitly return them as the result of your program. To return more than one value you have to put them in a vector or matrix.
To return something from a program you may use the explicit "return" statement. Otherwise the result of the last line executed is the returned value. That's the reason why I did not need touse "return" in the last line.
But you sure can use
it may be good style anyway.
Hi
Version 6 of calculations now allows for choice of DBN or Eurocode stress block.
All the sample/checking calculations are removed leaving the bare bones.
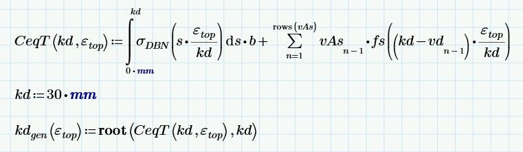
Calculation of kd using the root() function is essentially the solution of a quadratic so a negative value is possible (especially at low curvature) the guess value could lead to the negative solution. Negative value of kd messes up the moment curvature graph at low curvature. The workaround is to use a better guess for kd at half the maximum steel depth instead of 30 mm. Graph glitches go away.
Cheers
Terry
@terryhendicott Hi Terry!
I tried a little bit to analyse your Moment equation. Thus, according to the analysis of equation (4.4)
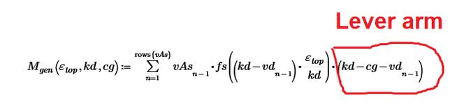
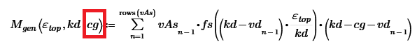
We do need to consider the moment of equivalent concrete centroid (first member of the equation), or by your assignment:
Since it affects the total M value, it creates a moment that is taken with the lever arm cg (according to your assignment) against the clockwise direction. M=Centroid*cg
In my case it has a significant influence on the total moment M
I take the curvature as the maximum of design depth vd1, which'll be constant and not depend on the first assumption of kd=30 mm, as in your sample.
As I see from your moment calculation, you ignore the centroid input to the total moment M. You use only the moment produced by reinforcement multiplied by the respective lever arms. Why?
Also, I didn't catch why you don't put ec1u_cd as the maximum compressed strain of concrete instead of etop?
File attached.
Hi,
The trick is in where to take moments about for the moment equilibrium calculation.
Version 6 takes moments in the section about the centroid of the concrete section.
Equation 4.4 takes moments about the bottom of the concrete stress block.
Here is a diagram and calculations of the difference.
@terryhendicott Hi Terry!
Thank you for your explanation, but I'm still concerned about the correctness of my interpretation of your file and logic embedded in v.6/
I don't want to be annoying, but it seems to me that you misunderstand equation 4.4.
In my graph, you can see how the logic of equation 4.4 is built ( probably you've got it earlier, but still I want to express it by picture, maybe here is the point of your misunderstanding)
Hi,
It does not matter if you take moments about the moment centroid of the compressive stress block, or moments about the bottom of the concrete stress block you get the same answer for section moment.
When using the centroid of the concrete stress block as point to take moments about, lever arm of the tensile reinforcement is longer and gets the same overall moment.
When using the bottom of the concrete stress block as point to take moments about, lever arm of the tensile reinforcement is shorter and gets the same overall moment.
Here is sample calculation of both:
Cheers
Terry
@terryhendicott Hi Terry!
Thanks for the clarity.
You are definitely right regarding the leverarms - if we do take the moment of compressed concrete with its arm Fc*concrete arm, the respective arm of the reinforcement will be shorter, and the total moment M in such a case will consist of two components - concrete and reinforcement.
Otherwise, if we get an appropriate value of lever arm of compressed concrete block from the root() function, we can calculate the total moment M as the reinforcement equivalent force Fs multiplied by the bigger lever arm = (lever arm of concrete+lever arm of reinforcement) without considering the impact of compressed concrete Fc*concrete arm in the total moment M.
As far as I messed a little bit with your symbols, you do calculate the moment M under the second, bigger lever, arm without considering the impact of compressed concrete Fc*concrete arm. Am I right?
Hi,
As far as I messed a little bit with your symbols, you do calculate the moment M under the second, bigger lever, arm without considering the impact of compressed concrete Fc*concrete arm. Am I right?
Yes
Cheers
Terry
Thank you very much, Terry!
Your solution is really elegant. The only question that arose in my head: Does it consider multiple reinforcement layers? As far as I can assume, it does.
Hi,
The only question that arose in my head: Does it consider multiple reinforcement layers? As far as I can assume, it does.
Yes just add as many rows as you need to vectors "vAs" and "vd". Program self adjusts to the size of these vectors.
The only fixed thing is the calculation of reinforcement stresses that only considers two layers.
Cheers
Terry
Happy New 2026 Year, Terry!
I tried to modify the original file a little, adding extra reinforcement (a total of three), each with different characteristics (e.g., A240C, A400C, B500).
But my plot is not represented, due to the syntax errors (probably)
I also liked observing how each reinforcement stress is changed along the ec1 axis. It means that I want to draw the fyd of each reinforcement and to fix the range where the stress is above/below this line. The idea of drawing the horizontal line in the form of a transparent matrix [] T was taken from @Werner_E file,
but also without results.
Can you look at what is incorrect in my attempt, please?
I'll be very grateful for any assistance with my question.
PS All my modifications are highlighted in yellow.
Prime 11.0.0.0 file is attached.
Hi,
Happy New Year to you as well.
Comments in red where I have made alterations to get it to work.
Still not 100% happy.
Cheers
Terry
Hi,
Changed the diagram of reinforcement stress-strain. Replace strain at the top of section with strains at the level of each reinforcement.
Cheers
Terry
Thank you for upgrading the code, Terry!
I still don't think I expressed my issue clearly.
The idea for the improvement is to analyse the bending moment M (bearing capacity) as a straightforward function of different areas and reinforcement grades.
Thus, I want to explore how varying the reinforcement level, area, and yield strength affects the moment M for a specific reinforcement stress value at a fixed strain, for instance, the 0.2ecu1 level.
I thought that for such a purpose, the additional axes (fyd_n for each reinforcement grade) plotted with dots, whatever, would be useful with both horizontal and vertical axes (stress-strain for each reinforcement grade) in the form of "sights" as in the @Werner_E file, as follows:
The possible representation of the aforementioned could also be as follows:
I found that the technique of plotting the dot lines for specific values of fyd can be used from the other file (see @Werner_E file, where, instead of Moment-Curvature, I would like to use Stress-Strain diagram). This is the idea. I tried to modify it with my data, obtained courtesy of you and @Werner_E.
Hi to everyone! I've noticed some issues with the PTC community messaging.
I hope everything is well for now, and I guess the notifications will be as usual.
Hi Terry! I've noticed some issues with the PTC community messaging.
I hope everything is well for now, and I guess the notifications will be as usual.
Hi Terry! I've noticed some issues with the PTC community messaging.
I hope everything is well for now, and I guess the notifications will be as usual.
@Werner_E Thank you for your explicit explanation, Werner!
The lack of MathCAD nuances does not stop me from exploring its power!))
As far as I caught the idea, you can only use the data from the program if you saved it in the return [...] manner (matrices, if we have more than one variable, and without square brackets if we need to return only one value. Isn't it?
I'll try to exercise it a little.
