cancel
Showing results for 
Search instead for 
Did you mean: 
cancel
Showing results for 
Search instead for 
Did you mean: 

Community Tip - Your Friends List is a way to easily have access to the community members that you interact with the most! X

Translate the entire conversation x

System of two ordinary differential equation of different order

-MFra-
21-Topaz II

System of two ordinary differential equation of different order

Hello everyone!
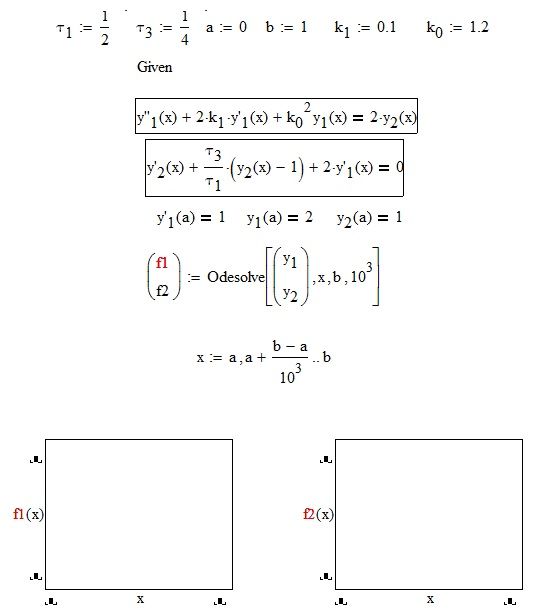
is there anyone who can solve this system of two differential equations of different order, with the use of odesolve? the initial conditions are taken at random.

eqdiff system.jpg

Thank you very much

FM

ACCEPTED SOLUTION

Accepted Solutions
Fred_Kohlhepp
23-Emerald I
(To:-MFra-)

4 REPLIES 4
Fred_Kohlhepp
23-Emerald I
(To:-MFra-)

Sure:

Capture.PNG

Werner_E
25-Diamond I
(To:-MFra-)

You typed y'.1 but should have typed y.1'

The latter looks ugly because the prime symbol is in the subscript, but its the correct syntax.

So either avoid indexed function names like Fred did or use the derivation operator d/dx

Bild.png

-MFra-
21-Topaz II
(To:Werner_E)

Thank you very much Werner!

... I said it, that I was lost in a glass of water !....

-MFra-
21-Topaz II
(To:-MFra-)

Thank you very much Fred!

... I said it, that I was lost in a glass of water !....

Announcements

Top Tags